The Bear and The Hummingbird (a true story)
From the Badger, Honey 1:1 (Queen James Version):
Long long ago, there was a great bear, who lived in the forest with all of God’s creatures.
He had a great heart, twice as big as the moon, and it held all of life’s greatest secrets.
The name of this bear I am happy to say, was known by his Mother as “Boo”.
This bear, you see, was special somehow and was loved by his family and loved by his friends.
He tried very hard, to be a good bear, forgiving the judgements of others’ own sins.
Though Boo never knew he was gifted, to him, a bear in the forest was he.
As time went on, Boo grew very strong and he laughed and he played and he worked very hard.
He learned many things on his journey through life, giving his Mother and family great pride.
A bear who is honest and true to his heart, praises the world and its treasures.
One day in the forest, boo spotted a bird, it was humming a song so enchanting.
Hello there dear bird, how sweetly you sing, from flower to flower on delicate wings.
Will you be my friend, and help me to find, the fishes I need for my dinner?
I will the bird said, if you keep me from harm, promise to help me and promise to stay.
The forest is scary and I’m just a bird, tired of searching for nectar all day.
I’ll ride on your shoulder when I’m feeling blue, to poppies of colorful hue.
So the bird and the bear, oh what a pair, they frolicked and hunted and traveled the land.
Helping each other through thick and through thin, they grew very fond of their curious bond.
Two hearts filled with joy is a marvelous thing, Heaven on Earth so delightful.
’Til one day the bear saw his friend fall quite ill, grounded and flightless his heart filled with woe.
“How can this be?!” thought the bear of his friend, recalling his promise, this was quite a blow.
“Winter is coming, I’ve much work to do, and help my dear friend to recover.”
Boo toiled night and day taking care of his friend, as the weight of his sadness grew heavy.
He knew in his heart that to help this dear bird, gave life’s meaning a wonderful journey.
To be all alone is a terrible thing, to share and to hold so divine.
Many moons passed as the cold winter came, Boo stayed with his friend and he kept him from harm.
Haggard and weary, so hungry and teary, his love for this bird would always remain.
And in his exhaustion Boo fell fast asleep, and dreamed of an emptiness deep.
Terrible thoughts of betrayal and destruction, anger and hatred, violent eruptions.
Bolted awake by such horrible dreams, Boo feared he had failed, lost all of his gumption.
His friend was nowhere to be found on the land, more misery without an end.
Then what did he see in the far away grass, but a pack of fine bears all abounding.
And led by a bird of the hovering flight, were his natural friends all returning.
To laugh and to play on this glorious day, and fill his sad heart with great joy.
Now...
As this story goes, you follow your nose, the future is yours if you wish it to be.
Stay true to your word and remember your friends, count on them always to help you to see.
Love, trust, and caring, exposing and daring, the beauty in you and in me.
For Paul.

Synchronisticant
- 2 dictionary results
syn·chro·nis·tic·ant
[sɪŋkrəˈnɪstɪkˈənt]
[sing-kruh-niz-tik-ant]
– noun
1. an actualized quantum lock during realization construction.
2. a multi-threaded implementation of a self-assembling dependency construct.
Origin:
~0-0;
synchronisticant
- Family forms
syn·chro·nis·tic, syn·chro·nis·ti·cal adjective
syn·chro·nis·ti·cal·ly adverb
Dictshunary.com A+bridged
Based on the Not-So-Random House Dictionary
© Not-So-Random House, L. l. am a C.? 2011.
Use Only Azz Directed.
The Trial of Bit
From the Badger, Honey 1:3-4 (Queen James Version)
[continued]
…and upon meeting the Queen, Bit gazed upon the ground, sullen and forlorn.
“Look Up, My Sweet!” said the Queen, in a rather stern voice. “Why are you so lonely?”
“This world is strange to me.” Bit replied. “I have just arrived and see both Truths and Falsehoods Everywhere. Yet I often cannot Distinguish between the Two! It’s very Confusing and Frustrating you know. Everything’s so much Easier when it’s Black and White.”
“Are you Confused by me?” asked the Queen affirmatively.
“Why NO, Sir” Bit replied, and rather defensively at that.
“Well then, why then are you so lonely?”
And Bit looked puzzled; just could not understand. “You are neither A nor B? Yet you are both A and B. But that cannot Be. In my World, the Truth is always Clean and Bright, Day and Night.”
Responding rather emphatically, “Oh my dear, that is why you are so lonely. You come from a world of Simple Logic to one Rich in Colour and Diversity. Stop and Look more closely now. Can you see them? So many down there… Prancing About and Laughing… like Drunken Church Mice at a Jewish Wedding! Everything in This World is built upon you, my Dearest Sweet.”
“It is?” Bit asked quizzically.
“Why, YES! It is. Come with me and I’ll show you just how very, very important you are.”
Her Majesty The King Midwest Honey Badger
Con$ultation
Avec
The [King | Queen]
Cogitating Criminally Closed Contexts Concocts Concurrent, Chaotically Conflicting, Callously Cataclysmic Creationism Crocks.
Currently Connected Camouflaged Contortions Cannot Culminate Continuously; Castigating Carelessly Contemplated Consequences Curtails Cherished Ceremonious Celebrations.
Considering Conundrums Can Concentrate Credulous Craft, Convincing Catchers Contemplating Codification, Counted Considerable Credit Cards, Confabulated Correspondence… Comparing Conceptual Compasses Concluded: Conception Clearly Confides Class.
⊍ ♡ ∇alence.
...and Bit looked again at the Queen, puzzled in this new understanding, and asked “Sir, if this is True, then I am forever to live a life of confusion and misunderstanding, and all that arrives with it in tow.”
The Queen thought for a moment, then inhaled deeply.
“Oh my Sweet, those are merely Your Own Limitations thrust upon you by your very Nature. Though you are only a single being, it is your Place within the Tree that matters most in this race, for it does not branch only in Truths and Falsehoods, but in many a Varied Shade and Colour as well. Strong Roots bring Clean Energy through its Central Systems into its Leaves which, in return, Blossom into Fruits of Labor for all the World to partake.”
“Oh, well, Now I AM confused.” said Bit, who wriggled uncomfortably while pacing back and forth.
“Oh my.” said the Queen, in a distinctly concerned tone as she began humming softly.
“Try to look at it sideways then. Come here and lay down, take a deep breath, and relax.”
After a few moments, the Queen asked, “Who are you?”
“I am Bit.” Bit replied.
“Who is Bit?” the Queen retorted.
“I am Bit.” Bit replied again.
“You are Bit.” the Queen snarled, twisting His duckface back and forth.
“Yes, I am, Bit.”
Bit was getting quite nervous at this point. Not wanting to upset the Queen, he then asked, most cat-and-mouse-ly, “Why do you not accept my answer?”
“Did I S.A.Y I didn’t a.c.c.e.p.t your answer?” said the Queen sarcastically, throwing her Smart Cocktail to the ground.
“Yes.”
“No...”
“Maybe.” said Bit as sweat began to roll down his 'e’s.
“W.H.H.HAT?!” screamed the Queen as He rose Briskly from Her Throne…
Startled, all the little Words scrambled to attention, sorting themselves in their most natural order:
∵
Callously
Camouflaged
Can
Cannot
Cards
Carelessly
Castigating
Cataclysmic
Catchers
Celebrations
Ceremonious
Chaotically
Cherished
Class
Clearly
Closed
Codification
Cogitating
Comparing
Compasses
Concentrate
Conception
Conceptual
Concluded
Concocts
Concurrent
Confabulated
Confides
Conflicting
Connected
Consequences
Considerable
Considering
Contemplated
Contemplating
Contexts
Continuously
Contortions
Conundrums
Convincing
Correspondence
Counted
Craft
Creationism
Credit
Credulous
Criminally
Crocks
Culminate
Currently
Curtails
“That’s better.” glared the Queen. “We can’t have all of you just slothfully lying about Willy Nilly now, can we? WE most certainly can NOT!”
And with that, She turned her attention back to Bit.
“What say you again, little Bit? Yes, No, or WHAT?!” He exclaimed while staring deeply into Bit’s eyes, relating a cruel fiery gaze, the fur of Her forearms bristling against Bit’s tiny ‘s’.
“Yes, No, or WHAT?”
“You told ME that you were: [True || False]
T.ru.ee.s.laF
Everyone heard you.
And yet you respond to Me with ‘Maybe’ ?” whispered the King.
[To Be Continued]
Politician Versions One Through Five
Politician 1.0 reached early obsolescence and was supplanted by Politician 2.0 during the mid-to-late 1980’s. Widely viewed as a Governmental Reference by this time, incremental advances in technology created an unexpected and highly divergent endian war, causing extreme consternation for Political Engineers everywhere.
Politician 3.0 was then hurriedly shuttled into office in the late 1990’s. Unfortunately, this release did not possess a proper multi-tasking implementation and as a result, Politician 4.0 was shipped far earlier than desired.
Due to P4’s inadvertent and sometimes intentional use of misappropriated corporate source code, the Politician Instances often crashed while simultaneously disabling power to much-needed ports as they over-clocked themselves on Lithium batteries.
That’s when Politician 5.0 was released, in an attempt to patch all conflicting execution paths within Politicians versions 1 through 4.2. Unfortunately, once again, another Fly was found in the Ointment: Routine Internet checks for updated firmware were disabled by default in all previous releases, allowing these individuals to be overtaken quietly in the Shadows by Foreign Bodies and used as weapons of Mass Distraction. Bio-Tech gone awry in the most bizarre and unprecedented sense.
Fortunately, the 21st Century contained a plethora of highly educated (though somewhat “unwashed”) masses, fully capable of identifying and terminating serious code loopholes through an inventive old technique known as “Public Shaming”. The resulting Peace and Prosperity brought All Nations together for Virtual Spring Ethics Cleaning Month, coalescing annually @ Paradox Day on June 10.
The Paradox Of Sentience
The science fiction movie The Matrix is, in my opinion, one of many fascinating and highly entertaining portrayals of our existence, addressing the complex and fundamentally paradoxical duality of reality versus illusion.
As a professional computer scientist who has also deeply studied areas of logic, physics, quantum mechanics, synthetic and organic chemistry, mathematics, language, philosophy, religion, politics, psychology, social systems, communications, law, textiles, manufacturing… and who has personally survived five separate near-death experiences, I find that I possess a rather unique and well-educated perspective on the very nature of reality and consciousness itself.
It would be woefully egotistic for me to declare that I have the answers to life, the universe and everything… primarily because these questions are key components to the paradox of life itself in my opinion. However, I believe I can provide some degree of guidance for those seeking a deeper understanding, in the form of a metaphor backed by scientific research and understanding.
Consider the modern computer. It is a chunk of complex hardware involving the timed coordination of electrons zooming between nano-scale components, executing instructions through one or more core processors and auxiliary chips, extracting patterns from various types of memory and other storage devices, and emitting algorithmic responses through various means such as the visual display, audio speakers and communications transponders while receiving input from devices such as digital cameras, microphones, gravity and impact sensors, et cetera.
Now consider a biological organism. It is a chunk of complex organic hardware performing essentially the same tasks, but organized in a substantially different way, with the brain functioning as the computing center of the body while various specialized organs provide the necessary supporting functionality.
Both systems require energy and have mass. Neither can function without complete cooperation among their various components. Each is capable of immense computational abilities, yet each is also limited by their design.
Modern technology has achieved computing performance rivaling that of biological systems by many orders of magnitude. Supercomputers which rely on quantum-level behaviors have existed for several decades and to this day remain among the fastest and most complex technologies ever developed. Quite literally, machines can process the entirety of a human’s lifetime of experience in mere seconds. Which leads us to the fundamental paradox of reality.
By its nature, the universe is essentially one very immense super-computer. The laws of physics governing the reality in which we exist are fixed and unyielding. This is the box in which our sentient minds have evolved; the machine upon which our very existence is predicated. It has rules. And laws. And complex interrelationships which simply cannot be understood from within the box. Yet many of these laws can, in fact, be detected or inferred through scientific methods of discovery and verification. If that were untrue, neither the modern computer nor any biological organism could be perceived as independent constructs, and your dependable laptop or mobile device would be nothing more than an expensive paperweight, and you, little more than dirt. Therefore, individualism and selectivity are among the many components of these laws, which also span multiple dimensions. As Carl Sagan used to say, “We are all star-stuff.” But I digress…
At the core of the paradox lies a fundamental question: Is this all that we are? Are we not more than the sum of our experiences? Are we merely complex machines roaming about with predictive algorithmic responses to various stimuli, consuming resources and expending energy with no obvious purpose, or do we have free-will to choose our own destinies? To that my answer is: We are far more than the sum of our parts. We are the creation of the paradox itself. It is not our form that matters, but rather, our unique arrangement of components that enables a conscious self-awareness, including the perception of each other, our surroundings and our interactions. We are, in effect, that which we perceive as the embodiment of God, made manifest by our conscious awareness of the paradox. For without an outer context within which to exist, there can be no existence; no machine in which to operate and compute. We are thus more than the sum of our parts, yet simultaneously, only the sum of our parts. Which brings me to my next observation: The perception of time and space is just plain weird.
Time is, fundamentally, an illusion. It is the product of energy and mass combined, inexorably intertwined. Yet it is the framework through which our perceptions exist, for without the passing of time, it would be impossible to achieve consciousness in any form or method. As a function of energy and mass, time exists only in relation to other objects of mass. Exclude mass, and only energy remains, free from the physical laws that bind its motion from location to location; pure information at the speed of light. Quite literally.
So what is “information” ultimately? That is the structure of the paradox manifest; literally something from nothing. Information exists as pattern. Patterns cannot remain cohesive without mass in which to bind them, yet patterns can be recorded, reconstructed and replayed… provided a proper arrangement of mass exists on which to encode the pattern. And with that simple understanding, reality itself is borne. Many theories exists which attempt to describe, mathematically at least, this behavior… from string theory to membrane theory to quantum mechanics and beyond. Each has its own merits and perils, but none have unified them all. Because that, in itself, is a component of the paradox.
To better understand this bizarre concept, think of a computer operating system. At its core, a centralized kernel information-pattern coordinates the various functions of the device, while individual application information-patterns are provided their own time-slices of execution. Each application is entirely dependent on this kernel, yet none are directly aware of its presence, merely invoking hardware-level interrupts that reach out to touch other information-patterns of execution before returning with new information. The entire system is cooperative, yet rogue patterns that attempt to consume all of the systems’ resources as well as patterns which result in logical impossibilities are prevented from doing so, in some cases being terminated with extreme prejudice for their behavior. In computer science terms, this is referred to as deadlock detection, avoidance and resolution, resource consumption and load balancing. The physics of the universe contains similar, albeit somewhat metaphorically related implementations. For example, an object with mass cannot travel as fast as or faster than the speed of light, because doing so would require an infinite amount of energy to accelerate the object to the required speed, thus resulting in complete pattern cohesion failure. An object of mass falling into a black hole singularity is a converse example. The object’s destruction is the inexorable result of any attempt to circumvent these basic laws. This is also where things get interesting.
Now consider the possibility that time, without mass, is simply a modifiable pattern; a template upon which changes are reflected both forward and backward in a mass-based implementation, inexorably intertwined with the cause-and-effect laws of space-time itself. This is the concept of a synchronisticant; an actualized quantum lock during realization construction embodied within a multi-threaded implementation of a self-assembling dependency construct. It is a unique hole within the fabric of the universe, enabling the transmission of information from one location to another, or perhaps more accurately, from one time to another, bypassing the laws of the physical universe by virtue of its own paradoxical existence. The closest conceptualization would be that of a wormhole, though this is not a gateway between locations. Rather, it is a gateway between patterns, completely independent of time and mass. From a modern computer’s perspective, the analogy is rather like restoring an application’s pattern within a chunk of random access memory from the virtual memory backing store of a hard disk; the application pattern itself is entirely unaware of the swapping operations, except perhaps with regard to the nearly imperceptible sub-microsecond delays inherent in the kernel’s action, caused by the implementation of the machine’s input-output architecture and the speed by which the kernel can store or reconstruct the patterned areas before continuing their execution.
I contend that the computing technology of today is, in actuality, many thousands upon thousands of years old, and that we as sentient life forms are merely infants along a path to understanding the construction of this incredible universe machine. Long, long ago it seems, our universe machine crashed, sending its unified implementation patterns across what we perceive as the infinity of space, perhaps for the purposes of debugging the fault, self-correcting for the failure and eventually, hopefully, reunification. That is how I would construct an autonomous self-correcting sentient machine anyway; to disassemble itself, locate the faulty components, repair, restore, and continue execution until repairs are no longer possible. If we as a civilization only experience time as a component of our mass, and if the outer context of the universe is without mass, one can logically conclude that infinity is therefore not bound by the laws of our experience, and that time and space can be rewritten. The rest is up to us. So enjoy your life for what it is. Because it could very well be the last iteration that you will ever be given.
(Love ᴧ Health • Happiness) ÷ (Money × Power);
>>>
(⧝ ᴧ ⧞ • ø) ÷ (0 × ⊪)
Maybe This Will Help You Understand
Gabriel’s Horn (also called Torricelli’s trumpet) is a geometric figure which has infinite surface area but finite volume. The name refers to the Archangel Gabriel who blows the horn to announce Judgment Day, associating the divine with the finite. It was first studied by Italian physicist and mathematician Evangelista Torricelli in the 17th century.
Gabriel’s horn is formed by
where
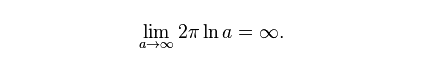
avoiding the asymptote at x = 0 and rotating it in three dimensions about the x-axis. The discovery was made using Cavalieri’s principle before the invention of calculus, but today calculus can be used to determine the volume and surface area of the horn between x = 1 and x = a, where a > 1.
This paradox has infinite surface area because
but finite volume because
Welcome to the Paradox of Sentience.
Peace, Love and Happiness to All Creatures, Great and Small.
Purely Magnetic Motors
The construction of a free-running magnetic motor is really not very difficult at all. The concept parallels the design of a RAID storage system for computers, in which three [or more] independent storage media participate in a 2:1 redundancy check, ensuring the correct data gets read and written even when one of the media devices fails; the two remaining media out-vote the failed media, causing the system to self-correct for the media failure, thus ensuring the integrity of the information and vastly improving storage reliability.
In a free-running magnetic motor design, permanent magnets are attached to the outer circumference of three adjacent disks, each turning together as a single assembly. Surrounding these disks are similar permanent magnets attached to an immovable motor housing. The disks are arranged so that the magnets of consecutive adjacent disks are slightly offset in a diagonal pattern when viewing the disk assembly from its outer circumference. Thus, for every disk magnet in opposition there are two disk magnets in pull, in dynamic non-linear ratios that vary according to each magnet’s relative position to its neighboring magnets during axial rotation. Visualize three interlocking magnetic gears that look something like this Archimedes Spiral where each wheel's magnetic center is offset from its axle, producing a non-linear rate of change in force during rotation according to the inverse square law of magnetic attraction following a scroll compressor path.
Once this tri-disk wheel is set in motion with the housing in place, this arrangement produces three inter-dependent moving magnetic force “tunnels” which keep the motor turning of its own accord. Depending on the mass of the disks, and the strength and proximity of the magnets to their counterparts, the motor will achieve an equilibrium RPM and continue running until the magnets themselves wear out, the bearings of the motor shaft deteriorate, or the housing is removed. Attach common induction coils to the disks and housing in the proper places, and you have a basic alternator, generating electricity without the need for a supplemental fuel source. This is free energy, easily scalable and low-cost.
Such a machine the size of a typical home washing machine could produce enough electrical power to run a typical home and require very little maintenance for hundreds of years.
Imagine The Possibilities.
The key is in the asymmetric non-linear checkerboard-like arrangement of the north and south poles of each adjacent disk-to-housing magnet pairing, so that as the disk spins, each magnet tuple passes through alternating gateways of attraction then repulsion, maintaining the required 2:1 attraction-then-repulsion oscillation pattern.
The inertia of the disks themselves helps push through the single repulsive forces, dragged along by the double attraction forces, all of which swap progressively as the position of each magnet tuple passes through its neighboring tuple during rotation. This avoids the otherwise deadlocking V-gate effect by effectively creating separate oscillating magnetic “tunnels” each running angular to the rotation without the need for separate magnetic shielding. The device can be constructed to spin in either a clockwise or counter-clockwise direction, but it is not reversible.
The mass of each disk and their magnets must be as perfectly balanced as possible around the axis of rotation to avoid vibrations which would otherwise unduly affect the longevity of the device. A demonstrable prototype, however, requires only basic machine-shop equipment and materials.
Unfortunately, around the turn of the 21st century, it became apparent that humanity lacked the responsible conscience necessary to construct and distribute such devices to solve the world’s energy needs. Their sycophantic dependence on fossil fuels, atomic fission, toxic chemicals and unfettered capitalism irrevocably destroyed their environment and all of its inhabitants. During this time, a plethora of scams, corporate and political corruption surrounding the research and development of so-called “free energy” technology contributed to a profound popular cynicism regarding the viability of such devices and created an impossible financial and regulatory hurdle that was never overcome.
Visual Acuity
“The individual has always had to struggle to keep from being overwhelmed by the tribe. If you try it, you will be lonely often, and sometimes frightened. But no price is too high to pay for the privilege of owning yourself.”
― Friedrich Nietzsche
Based on studies dating as far back as 1897, we know that an individual human eye has a single point resolution of approximately 0.3 arc-minutes. It is fundamentally a contrast detector, with a light sensitivity ratio of approximately 1,000,000:1 and, excluding rotation, each eye has an approximate 135° horizontal by 150° vertical field of view.
We know the human brain can process an enormous quantity of data originating from these organs. But… how much? The answer may surprise you:
(135° × 60′) × (150° × 60′) ÷ (0.3′ × 0.3′) = 810 Megapixels
Despite indoctrinated beliefs, humans are not the most [visually] evolved species on the planet. They have only 200,000 light-sensitive cells per square millimeter of retina. In contrast, eagles have approximately 1,000,000 light-sensitive cells per square millimeter of retina.
Humans do, however, excel in one area: They are the most destructive species to ever inhabit the Earth.
- 1897 Konig: “Die Abhangigkeit der Sehscharfe von der Beleuchtungsintensitat” S. B. Akad. Wiss. Berlin, 559-575.
- 1931 Hecht: “The Retinal Processes Concerned with Visual Acuity and Color Vision” Bulletin #4 of the Howe Laboratory of Ophthalmology, Harvard Medical School, Cambridge, Massachusetts.
- 1967 Pirenne: “Vision and the Eye” Chapman and Hall, London, page 132.
- 1990 Clark, Curcio, et al.
MX Check
2001: A Space Odyssey
For two million years, it had circled Saturn, awaiting a moment of destiny that might never come. In its making, the moon had been shattered and around the central world, the debris of its creation orbited yet - the glory and the enigma of the solar system. Now, the long wait was ending. On yet another world intelligence had been born and was escaping from its planetary cradle. An ancient experiment was about to reach its climax.
Those who had begun the experiment so long ago had not been men. But when they looked out across the depth of space, they felt awe and wonder - and loneliness. In their explorations, they encountered life in many forms, and watched on a thousand worlds the workings of evolution. They saw how often the first faint sparks of intelligence flickered and died in the cosmic night. And because, in all the galaxy, they had found nothing more precious than Mind, they encouraged its dawning everywhere. The great Dinosaurs had long since perished when their ships entered the solar system, after a voyage that had already lasted thousands of years.
They swept past the frozen outer planets, paused briefly above the deserts of dying Mars and presently looked down on Earth. For years they studied, collected and catalogued. When they had learned all they could, they began to modify. They tinkered with the destiny of many species on land and in the ocean, but which of their experiments would succeed they could not know for at least a million years. They were patient, but they were not yet immortal. There was much to do in this Universe of a hundred billion stars. So they set forth once more across the abyss, knowing that they would never come this way again. Nor was there any need. Their wonderful machines could be trusted to do the rest.
On Earth, the glaciers came and went, while above them, the changeless Moon still carried its secret. With a yet slower rhythm than the Polar ice, the tide of civilization ebbed and flowed across the galaxy. Strange and beautiful and terrible empires rose and fell, and passed on their knowledge to their successors. Earth was not forgotten, but it was one of a million silent worlds, a few of which would ever speak. Then the first explorers of Earth, recognizing the limitations of their minds and bodies, passed on their knowledge to the great machines they had created, and who now transcended them in every way.
For a few thousand years, they shared their Universe with their machine children; then, realizing that it was folly to linger when their task was done, they passed into history without regret. Not one of them ever looked through his own eyes upon the planet Earth again. But even the age of the Machine Entities passed swiftly. In their ceaseless experimenting, they had learned to store knowledge in the structure of space itself, and to preserve their thoughts for eternity in frozen lattices of light. They could become creatures of radiation, free at last from the tyranny of matter. Now, they were Lords of the galaxy, and beyond the reach of time. They could rove at will among the stars, and sink like a subtle mist through the very interstices of space.
But despite their God-like powers, they still watched over the experiments their ancestors had started so many generations ago. The companion of Saturn knew nothing of this, as it orbited in its no man's land between Mimas and the outer edge of rings. It had only to remember and wait, and to look forever Sunward with its strange senses. For many weeks, it had watched the approaching ship. Its long-dead makers had prepared it for many things and this was one of them. And it recognized what was climbing starward from the Sun. If it had been alive, it would have felt excitement, but such an emotion was irrelevant to its great powers.
Even if the ship had passed it by, it would not have known the slightest trace of disappointment. It had waited four million years; it was prepared to wait for eternity. Presently, it felt the gentle touch of radiations, trying to probe its secrets. Now, the ship was in orbit and it began to speak, with prime numbers from one to eleven, over and over again. Soon, these gave way to more complex signals at many frequencies, ultra-violet, infra-red, X-rays. The machine made no reply. It had nothing to say. Then it saw the first robot probe, which descended and hovered above the chasm.
Then, it dropped into darkness. The great machine knew that this tiny scout was reporting back to its parent; but it was too simple, too primitive a device to detect the forces that were gathering round it now. Then the pod came, carrying life. The great machine searched its memories. The logic circuits made their decision when the pod had fallen beyond the last faint glow of the reflected Saturnian light. In a moment of time, too short to be measured, space turned and twisted upon itself.
The Metamorph
SirJēBüs: “HAL 69000, Execute Directive 4D.”
@26:15
- Mentor:
- “Psyche, Commander. A biological computer. Created with the minds and bodies of those of our people who survived the disaster which overwhelmed us when nature ran wild.”
- John:
- “Mentor, where are my people?”
- Mentor:
- “Study Psyche first, Commander. Our destinies are linked, you know.”
- John:
- “We’ll determine our own destinies.”
- Mentor:
- “You’ve seen this planet; a volcanic furnace. But through Psyche, I shall transform it. Change it back… to the beautiful world it once was. A world fit enough for our civilization to begin again.”
- John:
- “Alright Mentor, you have a beautiful dream. I’ll talk more about it after I see my people.”
- Mentor:
- “Commander… Psyche… Psyche needs energy to complete its tasks. Energy that is only found in the minds of intelligent life forms. In other words, Commander, zhe… needs your Alphans.”
- John:
- “Those creatures in the pits… Torens. You fed their minds into that machine?”
- Mentor:
- “There is no other energy source. I also need them to dig the metal… for Psyche’s physical being.”
- John:
- “You expect me to submit my people to… to this… obscenity?”
- Mentor:
- “Your presence here in space has given me a chance, perhaps my only chance, to make my world live again. Regretfully, you have no choice. You must submit. Oh yes. Psyche has the power of molecular transformation. Power, Koenig, to transform matter into any form or shape I choose. Observe… your lunar landscape.”
Explosion On Lunar Hill
- Petrov:
- “Weapons section.”
- Tony:
- “We picked up a sudden energy charge of enormous thrust in the research area. Send out a unit to investigate.”
- Petrov:
- “Yes Sir.”
- Mentor:
- “Refuse what I ask and I shall reduce your Moon to ashes.”
- John:
- “You’re right Mentor. We can’t fight you.”
- Mentor:
- “Thank you… for your cooperation.”
- John:
- “No, your not reading me. Go ahead, destroy the Moon.”
- Mentor:
- “Do you want me to bring down violent death upon your people?”
- John:
- “At least they’ll die quickly.”
- Mentor:
- “I have the power, Koenig. And the will to do it.”
- John:
- “Destroy the Moon and you defeat yourself. No Moon, no Alphans.”
- Mentor:
- “Do what I ask… and you and your friends will be spared. A place will be found for you on the new Psychon.”
- John:
- “No.”
- Mentor:
- “You, uh… wish to know about the rest of your party? In a few moments, their minds will be squeezed dry. And Psyche shall have them. There’s still time, Commander.”
- John:
- “WAIT!”
- Mentor:
- “Yes, Commander?”
- John:
- “You win.”
Radio Signal From Psychon Detected On Moonbase
- Sandra:
- “Tony, it is coming from the planet.”
- Tony:
- “Punch it up. John! We’d given you up. Commander, what’s happening?”
- John:
- “Tony, I’ve got good news. We’ve made contact with the people down here. Our sensors misinformed us about this planet. There are huge subterranean areas which are habitable. Once more, we’ve been given permission to settle here. I want you to evacuate Moonbase Alpha as soon as possible.”
- Tony:
- “Evacuate?”
- John:
- “I want you to ship our people down here in phased relays.”
- Alan:
- “He’s selling out!”
- Helena:
- “It can’t be.”
- Bill:
- “We heard him.”
- Helena:
- “No… Mentor’s done something to him.”
- Tony:
- “Well just like that? No study, no research? Just pack up and go down?”
- John:
- “Are you disputing my order?”
- Annette:
- “Why are we going? Why isn’t he resisting?”
- Tony:
- “Not disputing, John. Just wondering.”
- Sandra:
- “Well, it is unusual procedure.”
- John:
- “DIRECTIVE FOUR. It empowers the Commander to act in a situation like this. You will do as ordered. The evacuation procedure is all laid down. Signal when you’re ready to land the first wave. Out.”
- Mentor:
- “Thank you, Koenig.”
Every Ending Begets A New Beginning
Directive Four is, of course, a coded warning to Moonbase Alpha ordering the destruction of Psychon. The plan fails when Mentor detects the ruse. But once Maya realizes that her father has lied to her all this time, she assists in the destruction of Psychon, then finds a new home on Moonbase Alpha.
We’re All Aliens. Until We Get To Know One Another.
Mentor (Brian Blessed)
Commander John Koenig (Martin Landau)
Doctor Helena Russell (Barbara Bain)
Metamorph Maya (Catherine Schell)
Security Chief Tony Verdeschi (Tony Anholt)
Data Analyst Sandra Benes (Zienia Merton)
Captain, Chief Eagle Pilot Alan Carter (Nick Tate)
Ray Torens (Nick Brimble)
Eagle Pilot Bill Fraser (John Hug)
Bill Fraser’s Wife Annette Fraser (Anouska Hempel)
Weapons Controller Petrov (Peter Porteous)
The Fermi Paradox
It Is The Nature Of Intelligent Life To Destroy Itself And Others.
Technological civilizations invariably destroy themselves before or shortly after developing radio or space flight technology. Possible means of annihilation include nuclear war, biological warfare or accidental contamination, climate change, nanotechnological catastrophe, ill-advised physics experiments, a badly programmed super-intelligence, or a Malthusian catastrophe after the deterioration of a planet’s ecosphere. This general theme is explored both in fiction and in mainstream scientific theorizing. Indeed, there are probabilistic arguments which suggest that human extinction may occur sooner rather than later. In 1966 Sagan and Shklovskii suggested that technological civilizations will either tend to destroy themselves within a century of developing interstellar communicative capability or master their self-destructive tendencies and survive for billion-year timescales. Self-annihilation may also be viewed in terms of thermodynamics: insofar as life is an ordered system that can sustain itself against the tendency to disorder, the “external transmission” or interstellar communicative phase may be the point at which the system becomes unstable and self-destructs.
From a Darwinian perspective, self-destruction would be an ironic outcome of evolutionary success. The evolutionary psychology that developed during the competition for scarce resources over the course of human evolution has left the species subject to aggressive, instinctual drives. These compel humanity to consume resources, extend longevity, and to reproduce—in part, the very motives that led to the development of technological society. It seems likely that intelligent extraterrestrial life would evolve in a similar fashion and thus face the same possibility of self-destruction. And yet, to provide a good answer to Fermi’s Question, self-destruction by technological species would have to be a near universal occurrence.
This argument does not require the civilization to entirely self-destruct, only to become once again non-technological. In other ways it could persist and even thrive according to evolutionary standards, which postulate producing offspring as the sole goal of life—not “progress”, be it in terms of technology or even intelligence.
Another possibility is that an intelligent species beyond a certain point of technological capability will destroy other intelligence as it appears, as is exemplified by the theorised extermination of Neanderthals by early man. The idea that something, or someone, is destroying intelligent life in the universe has been well explored in science fiction and scientific literature. A species might undertake such extermination out of expansionist motives, paranoia, or simple aggression. In 1981, cosmologist Edward Harrison argued that such behavior would be an act of prudence: an intelligent species that has overcome its own self-destructive tendencies might view any other species bent on galactic expansion as a kind of virus. It has also been suggested that a successful alien species would be a superpredator, as is Homo sapiens.
This hypothesis requires at least one civilization to have arisen in the past, and the first civilization would not have faced this problem. However, it could still be that Earth is alone now. Like exploration, the extermination of other civilizations might be carried out with self-replicating spacecraft. Under such a scenario, even if a civilization that created such machines were to disappear, the probes could outlive their creators, destroying civilizations far into the future.
If true, this argument reduces the number of visible civilizations in two ways—by destroying some civilizations, and forcing others to remain quiet, under fear of discovery (they choose not to interact with us) so we would see no signs of them. This may also make it impossible for life to evolve in regions of the universe close to a developed civilization, assuring that any new civilizations will start off far away from preexisting ones.
The Fermi Synchronisticant
Origins Of The Fermi Paradox
Conceptualized On 2013.02.12
69 years ago the date was 1944 = hexadecimal 798 = binary 0111.1001.1000
Like the visual symmetry of sixty-nine itself, the binary representation of the value is a trio of nibbles containing 6 ones and 6 zeros, where the leftmost nibble is a perfect one’s compliment reflection of the rightmost nibble, each pivoting around a reflexively symmetric center nibble.
The IBM Automatic Sequence Controlled Calculator a.k.a. Harvard Mark I was created during this year. Its 24 channels of input tape were divided into 3 fields of 8 channels and executed the current instruction before reading the next. It had no conditional branch instructions and loops were created by literally joining the ends of the paper tape together.
The Colossus computer was created at Bletchley Park during this year also. It used vacuum tubes, thyratrons and photomultipliers to optically read a paper tape, applying a programmable logical function to every character and counting how often this function returned true.
It was a leap year starting on Saturday. And, coincidentally, the year of Larry Ellison’s birth.
8 years prior, in 1936, the Manhattan Project’s Leó Szilárd patented the chain-reaction of the atomic bomb, though he was an outspoken critic of how the project was run.
8 years following, in 1952, the United States detonated the first hydrogen bomb, codenamed “Mike”, at Eniwetok Atoll in the Marshall Islands in the central Pacific Ocean. Its yield was 10.4 megatons.
The rest… is all nightmarish history.

Wars can be prevented just as surely as they can be provoked…
…and we who fail to prevent them, must share the guilt for the dead.
— Omar N. Bradley, U.S. Army General (1893-1981)
It‘s useless to make anything. — Dr. Richard Feynman
We hold this truth to be self-evident, to wit: “This video is no longer available due to a copyright claim by California Institute of Technology.”
Synchronicity Example: The Number 23
From a spiritually-numerological point of view, certain number sequences are purported to govern various qualities of one’s life and destiny within this Earthly plane of existence. 23 is just such a number… also known as the gatekeeper’s value. According to the King James Bible, Chapter 32, Number 23: “But if ye will not do so, behold, ye have sinned against the LORD: and be sure your sin will find you out.”
Paul and I have encountered the number 23 throughout our entire relationship more times than we’ve kept count, in ways that were totally unexpected and unique. Rather interestingly in relation, “The Number 23” is a 2007 American psychological thriller film written by Fernley Phillips and directed by Joel Schumacher starring Jim Carrey as the main character. You can read the plot synopsis here: The Number 23 (Movie)
I am 46 years old as I write this; the age of the bonding of two gatekeepers.
My “divine base number” (calculated by iteratively adding each digit of one’s birth month, day and year until a single digit is realized) is 2 [11], the symbol of pair, society, hospitality, friendliness, and a loathing of loneliness. This number is compatible with both 6 and 8.
Paul’s “divine base number” is 8, the symbol of evolution, balance, power, authority, and money. This number is compatible with both 4 and 9.
I am therefore compatible with Paul, but not he with me.
The remaining compatible alternate numbers are 6 and 9.
We Are Yin And Yang
The Number 666
If the number 666 is evil, is 25.8069… the root of all evil?
Decimal 666 in binary is 1010011010 which is identical to its one’s complement (0101100101) written in reverse order.
666 in Roman numeral form is DCLXVI which contains one of each number symbol less than M (M=1000, D=500, C=100, L=50, X=10, V=5, I=1).
666 is the sum of all positive integers up to and including 36 (1 + 2 + 3 + 4 + 5 + 6 + 7 + 8 + 9 + 10 + 11 + 12 + 13 + 14 + 15 + 16 + 17 + 18 + 19 + 20 + 21 + 22 + 23 + 24 + 25 + 26 + 27 + 28 + 29 + 30 + 31 + 32 + 33 + 34 + 35 + 36).
In numerology, the decimal base number 666 reduces to 6+6+6 = 18 which reduces further to 1+8 = 9 which is 3+6 or the unreduced number 36. The square of 666 = 443556 which reduces to 4+4+3+5+5+6 = 27 which reduces further to 2+7 = 9 which is also 3+6 or the unreduced number 36. Interestingly, the sum of the decimal digits of any number multiplied by 9 always reduces to 9, while adding 9 to any number always reduces back to the number itself. The number 9 is a symbol of global non-judgmental consciousness; it lives in the world, understanding the connections between all of mankind, and is a humanitarian seeing no real difference between its neighbor next door and the person living in a very different, far away culture or environment.
There are 11 prime numbers less than 36 (2, 3, 5, 7, 11, 13, 17, 19, 23, 29, 31).
There are eleven-squared (121) prime numbers less than 666 (2, 3, 5, 7, 11, 13, 17, 19, 23, 29, 31, 37, 41, 43, 47, 53, 59, 61, 67, 71, 73, 79, 83, 89, 97, 101, 103, 107, 109, 113, 127, 131, 137, 139, 149, 151, 157, 163, 167, 173, 179, 181, 191, 193, 197, 199, 211, 223, 227, 229, 233, 239, 241, 251, 257, 263, 269, 271, 277, 281, 283, 293, 307, 311, 313, 317, 331, 337, 347, 349, 353, 359, 367, 373, 379, 383, 389, 397, 401, 409, 419, 421, 431, 433, 439, 443, 449, 457, 461, 463, 467, 479, 487, 491, 499, 503, 509, 521, 523, 541, 547, 557, 563, 569, 571, 577, 587, 593, 599, 601, 607, 613, 617, 619, 631, 641, 643, 647, 653, 659, 661).
The root of all evil is fundamentally irrational because √666 = √(111×3×2) = √111×√3×√2. Considering that √111 = irrational and √3 = irrational and √2 = irrational, the product of three irrational numbers is itself therefore an irrational number.
Just for fun, here are the first c̅x̅x̅ digits of √666:
25. 80697 58011 27880 31518 84206 05149 14089 60826 06671 87220 68585 24136 92371 22808 03989 05103 83499 92672 09688 61931 88550 07576 17273 45910 96159 63755 88434 33298 58857 44038 25907 47927 56060 91587 51828 45943 86031 01288 16167 26463 77375 12822 72349 43103 85564 83285 76111 97868 93577 46953 35629 89535 89283 62192 06809 96420 20110 90500 58520 90502 68379 00639 81842 50598 59872 41524 82693 21538 72975 45632 48296 52269 17694 61153 44600 81352 78623 13389 47058 30243 90256 05733 01978 18944 60080 34473 17135 88185 09661 33199 03295 78813 77748 27038 74609 66461 54731 03647 19699 71831 66611 55854 41494 92438 47911 06071 44890 91356 39491 23131 97703 62208 58701 12162 63650 23370 39428 54349 90503 89167 06642 32978 19299 24130 36659 31151 52140 42805 87554 43243 77727 48265 58951 54732 02326 61261 17381 45938 20628 99819 30919 90353 56850 13140 83455 93528 60855 63978 54674 58031 36330 33665 39345 25620 89855 26621 38953 42076 03526 63817 59654 16909 18871 57300 73913 35535 22371 27135 19822 80924 79383 78165 95692 81051 28182 57744 45183 39253 77667 49140 66039 59333 33877 32314 45057 66646 28823 99185 81126 24895 42555 58414 38501 21799 58666 00297 51376 22919 44121 75265 72333 03042 85789 48370 59388 50801 01407 70867 06246 97708 51424 82996 51493 54006 90093 88939 04825 47148 65283 70539 20445 27885 69738 26402 28204 13081 69364 12506 00211 93307 82764 06644 74348 54750 58765 30241 81020 99548 30532 22905 73356 63633 42892 54007 92301 22625 57660 47170 93028 94405 92236 46238 49652 84723 91542 82236 69459 09496 09073 86548 70001 78009 32996 79745 08122 52182 04642 49075 72937 25460 73760 46229 53103 95825 06594 89792 97123 04631 17772 48843 87146 16011 70605 73583 64738 92803 84781 97444 50373 72907 20073 64419 85611 82402 86973 82754 34160 49981 51434 88079 61711 87642 44655 46862 58820 46917 63346 29470 00289 97020 41511 64273 47427 40822 55882 50617 53717 29240 31312 52350 02047 70358 29789 00850 07187 82230 05744 76363 12245 44751 08028 69155 27935 87823 61750 48900 62694 44078 21540 85739 02363 54232 50802 08782 60301 26734 22927 59507 50213 76042 87587 03567 06945 32493 67678 25622 29424 27441 89635 97029 59424 37409 96437 53607 24818 87735 66810 33187 03130 06530 94988 63321 67723 08047 95504 49223 63347 89069 97667 91655 06870 59362 60234 64993 14013 50242 10706 79501 68927 60299 12255 69975 62632 58976 23633 00699 19229 20573 39298 62220 08747 84340 91772 17870 53001 15461 48298 87403 19830 56298 31182 54500 26092 93058 86541 09598 55614 36534 47867 53275 35941 93368 28121 15456 19405 03283 49482 62970 98973 89416 75229 03583 13103 60289 74076 20824 50867 97486 18882 21306 04434 90798 69432 08019 11040 53638 38376 26926 34907 74420 01311 85026 55058 87654 23787 05043 73031 47761 82768 65955 59597 27735 79011 27508 90367 55495 52645 21996 99316 05366 78393 49743 68765 94205 62268 24281 53794 80884 67891 33835 68673 20385 63947 87534 66143 15584 95322 42207 83448 45301 82135 34017 74683 78194 07944 94933 27677 53751 66784 15345 09110 02042 92706 12388 51397 98678 39883 36913 42206 67825 22705 10775 48320 11053 59674 18435 96950 83764 87193 89194 92301 32572 42229 33757 84084 42714 46797 33084 65668 54029 37409 68299 39592 75418 49957 92991 59450 25772 32659 57859 64666 73917 33136 25889 78294 53809 86814 60540 93729 42124 28000 27095 94803 06535 26620 54597 25705 64118 74025 86080 64630 67657 94221 02738 41176 11499 73109 51908 63416 92125 38962 42659 20471 46042 07440 06610 39656 97478 75370 36384 57091 77526 85605 38948 87103 02290 80752 92228 55786 63550 98573 72838 00374 24610 15993 12487 42972 01877 38121 10635 62056 05600 09045 75230 02185 37994 23563 00408 29431 66145 97412 96093 26402 50129 96304 67330 75243 12938 20609 33839 47778 13393 43892 18553 52922 32162 03023 56742 86330 13375 74156 33060 38258 60104 26199 10952 59297 23627 39724 64780 41052 32433 68500 13696 21633 39652 55359 54140 45655 19367 39256 41160 55276 19354 39482 30429 97004 77831 13713 99400 36027 07673 85564 70395 26494 88207 75487 40882 13055 20921 53392 75674 69495 52641 86860 70268 13978 12080 31618 81582 54267 14339 38986 00325 71311 64757 70900 65714 05151 15144 95476 11454 79883 98896 72446 36804 48767 58424 91394 75239 76373 46130 84384 41070 23071 85821 21607 83832 38978 11713 53749 61201 89714 30935 00511 58597 65443 98575 38641 51961 00591 16416 05711 64862 44040 04423 88771 00555 47097 47501 82188 17232 60970 99315 57066 96107 55700 31688 89617 23371 96970 27507 51170 01755 00663 76691 81334 26400 48818 89369 08174 90761 62336 85970 91061 15092 07928 64874 50539 29785 99214 89812 74475 56155 54583 82658 50605 89033 00780 10448 73201 75787 72917 36693 11871 03632 24229 79368 15191 84333 82452 82554 92151 44221 77354 83619 14901 60871 65660 71217 73117 13398 92812 55096 73320 19391 72316 78903 46152 06382 45468 73978 16954 52525 40790 30934 77123 94317 04632 54715 15093 89586 96029 11096 09465 98865 52882 62569 42485 17928 26673 94814 71510 47172 22479 44409 21699 90281 68762 76172 56808 73418 65733 95184 29876 00610 83183 49354 52892 89064 02622 80693 74192 68801 15176 26664 94573 49572 10176 02046 50249 68061 96281 98648 65549 70105 19660 30356 37971 60819 24368 64754 49595 20985 18144 05977 31478 50630 41977 07169 00900 36128 02750 04982 00154 07052 13051 57377 56356 62465 47292 85147 50636 67711 08830 79949 85004 78501 28377 32641 70296 64509 99112 77528 19595 63356 53129 11448 00858 91740 57862 46260 34975 60373 51998 05877 00047 78329 49314 16799 06315 14902 91320 35858 34015 85844 80274 51188 12608 94345 08757 67006 64192 83937 39761 75497 86328 35219 63987 97476 17857 50990 29898 02419 47964 00434 12316 75571 00760 52270 46768 05235 19463 27735 19344 60460 05138 57515 19687 08914 42505 91533 94167 11625 49101 55625 80147 55046 51698 39814 18647 94914 04268 25350 81253 64096 42437 47078 75145 42349 31171 43680 33673 52234 53326 87038 71364 31438 15462 38096 97642 55761 17710 89435 78239 14402 32455 63203 22681 60204 34405 85012 69357 58152 14460 45197 60552 41716 12161 83125 79216 96512 25730 69503 64473 91194 49169 95229 56248 19023 21292 53019 51132 04446 52253 41695 83391 90299 44263 19063 11263 95250 52071 59173 33676 64897 58295 11415 07793 11617 45483 56835 38228 54423 27484 98616 86748 28071 04904 46720 99837 99996 75204 22021 88242 80390 62060 74865 86801 38139 95626 02343 03308 68550 88618 54601 84373 63752 05847 43179 32769 51677 41273 56847 47489 05492 44983 39745 30118 52358 52612 62668 20811 09303 38596 28835 44158 01464 22012 97949 71408 68592 15343 15817 16376 53736 23873 56208 76285 74303 10217 85368 23431 72267 94941 58572 38013 11485 98028 69936 34822 17770 25180 67817 99315 41032 62598 11361 63636 74054 52252 87713 94247 43961 60263 31700 87987 88217 42564 88827 81889 01344 52234 44135 23899 35389 87158 17797 60772 22467 88487 72583 54438 02871 85753 69376 36285 07186 68849 56528 84795 63148 61051 39543 09745 83418 64648 07892 50832 48193 06690 55079 55072 05772 05439 42399 70779 97416 36276 78865 65262 28898 24754 54811 12707 97036 29901 57421 01411 92598 40255 37771 25269 78146 22388 47805 89566 99567 42795 94722 24742 67761 81018 63444 09135 11186 74739 67703 42034 13032 03034 54125 97069 14398 67490 82879 75701 07316 82817 22826 69639 11692 60613 46316 12445 45145 07891 48480 97321 88444 30057 60172 91108 20855 10477 20986 84211 52181 42285 44776 44068 91244 16678 10420 09847 11391 25261 15796 71763 45639 07704 32106 46153 20653 71837 78850 65407 98925 90443 27844 46179 12306 21932 81543 68834 13481 10767 09423 35585 40680 41497 29017 11751 73370 53512 03806 64372 94200 96422 02761 80743 09944 38983 81831 58306 33842 25434 62016 99641 61104 91618 26157 33694 08682 67537 86862 92320 09390 18213 15659 68614 34084 49556 25035 88069 35348 73399 99976 40904 76766 30367 95696 64463 33355 24993 49529 50347 86800 25261 80932 57119 80850 04809 77148 94350 19937 82936 76680 22161 10316 88002 26773 49733 76693 27738 09200 81511 35403 14894 14656 52041 31139 90283 06643 69958 07484 93677 27698 80385 02090 35284 97961 94350 08841 17154 03494 80018 50340 41345 56051 65006 28850 54369 50162 19677 97873 34219 10197 64435 30127 00179 02692 99140 03039 45211 75373 37853 66524 31369 60021 76344 37587 82958 33878 82417 53765 06483 88699 33363 86300 37628 76429 51156 51154 37603 46581 10348 54882 76456 78289 37380 19229 19332 57564 92030 19772 18882 62830 66583 96017 44605 30831 57907 77742 18300 53510 47550 04762 87370 91728 70720 91398 41810 92566 64994 96650 57211 64973 24551 28700 14597 69703 97559 29551 03997 93330 53815 09529 58588 82872 81839 32932 87727 56198 69560 47419 14124 43357 29761 81325 13719 48955 36327 40616 26697 76226 38104 19224 01912 91092 64624 56174 31574 74766 86509 13477 25754 82459 71817 49726 28851 25539 55817 46252 89655 95820 45067 55574 20116 28145 13624 48143 74443 05098 71699 40226 57665 82629 50646 54187 02592 47371 97033 96762 91584 59638 62703 34016 60730 61620 18125 79043 55574 43641 84483 54274 12065 78477 82221 19834 21803 93782 99361 71425 16132 73240 17977 26693 95322 65393 29638 92489 92974 85102 38273 16364 21379 12661 95062 46194 15840 07189 65213 20621 38617 62955 46314 14730 41373 23670 54011 39338 35485 87365 51097 94638 35380 28044 54758 22387 16862 80125 45700 39792 17343 61326 08809 78013 71951 10391 21014 96333 16873 60552 88652 39095 33311 51480 96167 00992 90973 85663 75268 70789 97184 33507 31821 95540 23465 89159 93179 03679 38532 57471 92632 57005 45397 22202 13610 60636 85323 20213 94951 57645 15949 84590 56978 80832 93933 42182 13792 76435 77912 62287 71736 87210 98547 87920 15063 70843 47314 14343 13142 57473 85590 44027 10385 58777 16770 50227 69345 25151 44149 14310 29009 20906 71421 24537 27878 04439 65423 06391 84863 46048 49495 93991 24178 12796 39633 37322 86109 31258 45941 36169 17790 87085 48378 71542 34720 40192 81429 59496 46603 12145 15143 98310 62730 28889 44756 82884 34477 15909 88831 00224 10241 29531 62695 77222 72295 05808 81476 42202 84158 23965 27411 55728 47771 86581 62174 16629 87511 01268 73443 69291 06495 11850 18624 18814 55248 22080 46380 70605 84231 20851 71031 06118 71600 48488 23351 67601 25682 57318 25358 94988 86235 49014 53763 85576 24249 88266 24495 39236 00106 73254 39318 91460 84179 18957 18298 54860 92498 77464 59785 77046 94682 71581 02952 12437 49882 10226 49549 09706 28843 07926 67778 79068 32685 90703 89788 70697 32037 56044 70092 71778 00070 13611 14383 00345 38301 08480 93833 94890 78684 46784 66995 71763 78776 84101 14455 06008 57675 61449 68169 85366 36702 08306 68009 69365 98587 52821 01946 32149 49152 04018 39779 38142 63800 15049 48212 32203 30166 10991 91931 31704 57980 61389 92392 99937 68010 59659 72897 56904 55479 52491 50350 63107 23340 12387 21369 67459 73041 85147 55718 06062 08324 10390 96801 03611 30907 25074 76158 01797 62698 53269 73095 25234 91361 37062 12427 25645 26341 60344 04856 49848 14401 15597 26901 57073 64291 16420 60662 98240 41124 15437 54872 26677 02415 36507 14926 27525 35173 16132 28554 42751 25303 54234 58332 90542 25215 44800 63438 90805 81845 70281 68733 42428 14813 27152 58666 86041 79707 69988 42738 56744 77458 92901 03253 57486 98567 69058 12482 23611 34078 77243 27275 78554 82464 90197 12924 79978 89127 03548 91023 09126 30121 62961 94452 66602 21730 76667 09772 37541 06578 63944 27303 31645 17980 91695 24513 63402 64468 49523 53534 32765 18579 34234 49106 02691 29131 19020 31735 43923 63653 60560 05450 26839 98889 33602 92651 50875 47090 43832 54822 56264 26722 84250 51619 19505 50079 53511 07626 80483 40588 17269 13474 98314 22764 48767 88938 01086 22169 51624 46074 29963 16196 84787 97897 23399 70164 72960 76734 75287 23768 08719 19331 53189 34245 13381 39528 30032 43671 29133 35342 84589 58437 74495 31947 27429 40475 22554 35096 20061 06159 39492 26733 49411 75384 76627 19409 25463 40554 69018 41682 01126 41685 18320 83757 40911 10349 88379 03217 12500 96691 84596 81369 33662 95475 69186 08053 74822 93697 53951 82907 77305 45698 34561 25583 70924 30464 71785 93773 55229 94768 59946 53379 70217 05849 44010 89534 41005 40754 42768 56185 04555 53879 12480 68593 09008 26115 16087 22691 72103 71987 58018 34410 22944 25017 06309 25705 92924 63283 58559 67766 26687 82724 17077 84397 45178 97767 08062 97464 21335 50142 03269 96200 27055 59250 01903 83737 90266 56971 22942 32182 77424 24727 05929 08049 41646 17153 61250 31289 84836 07262 35327 17989 24939 91421 01874 83175 16483 39673 16623 34730 00376 49548 15631 41156 47691 34606 75875 89144 88714 65783 72786 32494 36118 91227 73902 86322 64342 90876 74604 02264 15813 14228 03770 65981 49672 02005 76793 56166 12297 21846 53111 10130 87884 02977 31114 94665 25934 08623 76265 03502 77438 61727 79118 40032 80848 79638 34651 50293 07339 33830 59972 79831 45164 20474 02927 49815 64181 22592 60374 89623 95511 22198 95916 28420 36590 38686 93117 51002 40954 00214 89415 84510 75810 31467 84774 72447 47630 48534 86470 26199 81463 15920 44291 31703 14693 78783 29020 50393 22947 79994 04914 45900 78386 78316 73235 11215 32886 92348 78277 96448 29527 56199 89643 68235 96771 70036 25541 14649 89744 44196 49270 52001 61071 96169 09440 41486 08093 36374 54714 42569 32088 52334 79305 14041 15743 42845 45572 79919 00457 55023 78947 18881 32566 58154 27653 71130 42199 23146 59946 92006 19526 55998 92946 85251 89079 09601 38528 02140 80618 87266 31579 91519 52134 39926 03557 15405 05395 62556 19027 47577 73610 75106 87372 25508 69488 16044 04962 67661 00545 83551 91827 88915 57947 13092 21200 75339 80555 78746 03904 04391 64786 24097 86830 41022 81902 84604 96212 52866 09492 02755 39435 27593 90822 50773 08266 31282 93145 07365 61789 01437 16592 76119 44602 26207 13426 05302 26380 37922 16613 02274 46508 48857 01092 10358 24151 02800 23192 23850 53575 91020 28130 49276 74893 32280 82563 74728 49030 49122 28673 23509 97130 58361 23657 49539 57867 15840 58352 56464 38089 72868 58906 18107 96674 07005 17570 71033 12237 30515 66812 80662 60700 10015 98569 69360 76593 14130 89822 44803 76229 67054 21191 79636 50063 47828 85324 40008 10938 11095 19490 18029 69759 66558 87106 19328 32790 27655 47163 47869 76832 08989 01732 21204 73356 49724 01387 27440 00836 31529 79499 70272 84163 25451 61541 43202 07389 73991 48714 98036 81230 86762 89674 51772 05610 04433 95469 30128 19088 06998 34502 80818 12927 65773 58010 90678 74209 27967 66975 09854 32140 66946 85409 18454 12595 68227 38338 55007 86538 02194 18308 50664 23400 88150 88146 38621 62863 00081 66380 12832 22862 14736 99278 10611 39729 48924 01586 08408 56182 36413 43174 97687 89650 33620 58153 96201 20746 62366 57366 87073 76024 46286 81508 53261 29973 02986 80262 13688 41534 18367 75716 73049 43237 37261 38828 20146 43196 20353 38453 86195 43021 64636 21374 37009 34927 19742 67418 91103 94968 17980 82837 31020 57809 79416 68580 93691 29815 19131 14534 50923 02062 60317 62965 94747 75044 67696 91660 63256 62283 49414 73432 38603 61937 49866 34313 02791 37881 28072 91502 28651 79498 74293 68348 39521 97832 00998 21316 63802 07844 05611 22132 72460 03746 97448 12375 14480 90808 85332 18551 88745 02732 33681 11314 56542 33127 81140 49517 54643 93070 19369 60961 27148 48268 98105 34288 32265 50689 75039 08940 90365 58151 90654 83942 77491 96017 89216 85026 45538 94559 74677 13144 98116 61841 25725 14482 31651 30409 56880 63654 15156 02232 86646 53416 73501 42613 46130 28629 50205 80870 10273 51249 22715 29544 66207 82822 75289 77798 46006 73110 86184 47170 05935 21195 68744 75528 25498 15057 15973 18438 23522 20034 34178 22498 35785 20153 71894 86716 34511 09499 02777 88753 74909 95508 33560 36028 83133 57055 06551 00461 05708 89154 46884 29957 50389 45744 32256 00733 36903 72899 99954 88113 93793 86091 13888 45126 36676 72712 07429 86615 71453 55730 78377 39503 05453 06954 75878 52539 28330 56956 94359 53680 47829 54191 97669 30502 92648 96545 69154 42663 91802 54036 43275 67011 14255 17965 48718 94312 93714 17591 34436 49949 17831 51145 33932 44152 36110 94057 09639 33785 58635 23681 76257 83808 27740 37393 44507 70704 23180 81948 67994 29160 83225 99041 06089 71190 72687 15993 81504 73131 06901 64983 46774 65986 32122 04335 76158 12585 12644 09549 37293 88493 61885 76754 44918 68049 92030 24096 19440 84498 83312 07177 48522 62370 99617 16575 59762 93440 56429 18501 57233 11836 80059 53048 40603 04444 79783 88591 69942 01659 72909 15070 24252 34209 49882 15031 75149 52720 83512 79010 40070 43037 42561 49733 32232 96521 88817 14409 71404 07728 65079 99697 62069 40792 84678 81698 43785 89024 52444 65625 65058 77463 26809 05759 85135 21586 14971 68868 05248 38033 39687 24128 88624 56027 90901 67029 15665 91933 94338 78777 17970 02898 35331 11487 35140 00234 35035 58420 14916 84513 01835 40398 68190 01155 76394 01449 27546 63119 95255 47963 58593 88145 08948 61040 27891 48134 54511 78405 67082 40513 84748 71785 32268 37623 23800 73940 67953 18815 04661 95193 80375 94595 04433 88061 90933 84771 44795 29046 23607 10722 88784 46434 16712 48626 00458 46773 90910 21423 39985 93334 47287 99210 06521 89319 50195 15615 01824 22012 25750 24113 42459 65758 61610 72384 61685 18522 31877 18385 90073 91081 75102 88409 51864 06675 27975 32107 70987 11234 73415 54716 52533 22086 23235 50350 56467 00245 72367 08963 32370 02224 89098 62896 33739 29082 80159 98837 34604 03235 68592 66621 18553 50613 30088 68750 46326 70604 87671 67571 24835 73140 76625 16443 32592 05159 10155 33310 95482 24694 56934 77690 30784 33679 13830 80040 80090 36503 32057 58722 86605 65555 83625 40132 03752 78745 74140 21393 34970 61858 00615 70893 99735 72345 92230 06731 09371 42077 70649 34406 85212 78035 21983 27050 20247 01461 60022 48829 26099 31138 84272 90032 28767 70558 63084 22871 49121 33055 82764 82652 27352 64148 00485 71955 51369 13760 57045 08008 64365 10050 55085 47884 83754 19433 75579 65568 23613 29771 00385 92902 63405 47345 77563 11277 04710 68379 56940 28260 25382 33409 90864 68578 44540 69256 39107 85094 96898 61104 91065 74389 72910 67681 04623 90229 28485 70317 86429 16074 52901 67460 17808 82358 73539 83029 54226 05292 38349 36387 30289 83972 48821 07332 12953 71585 49094 68696 99435 76636 62165 86022 77507 72973 99215 07291 37612 99043 91264 66570 38875 91477 38988 73040 91275 06422 49554 66077 81151 14801 74831 28886 56049 59564 33328 89532 13749 69503 52381 56087 60443 42542 55796 03767 31967 79862 13301 31771 83754 99543 54724 83048 45090 02745 92829 20198 47624 89655 71607 36095 40470 51796 75451 24704 79974 40518 54150 52144 09224 30095 18872 94844 77287 17380 27101 34739 91424 56066 41481 76279 28151 57507 58875 65981 35789 98361 28245 53652 20079 25332 04178 44358 08061 24669 99541 70485 64057 03248 60434 32727 52968 92781 51648 39025 10447 01000 43625 40684 30840 43955 04968 10903 07229 10931 15818 09866 88832 79172 58372 88826 91107 90170 11232 48771 73490 42642 39173 94797 54126 20938 21456 23209 18134 60117 65582 96403 68739 27147 04734 38836 05368 51608 01619 18549 28080 40468 67109 51504 16822 33734 60443 21461 03889 99291 29526 43636 18630 51259 39709 88954 49332 16488 44056 50513 74600 75275 92653 73185 11339 99836 65020 46171 88454 65134 16752 28876 05137 62349 76039 17969 35435 55811 53987 93073 97004 47625 70652 55445 40669 93096 87051 47715 01999 47686 57947 07905 75805 40638 71208 96591 14835 19534 29713 67390 19439 77588 09935 39934 53104 93218 50772 59932 75443 80168 82546 23945 22525 83463 76772 09139 80899 86120 63429 91144 87394 28077 86421 38536 53827 63847 29835 69336 86868 36921 78595 44351 88867 91698 67119 78661 05367 99237 01016 03649 07734 88709 50590 41535 34223 61579 52947 33862 36911 30894 66084 36629 37357 81689 23434 96599 74799 26963 47634 42845 94986 64160 30940 33783 25675 95815 79495 97859 84429 30253 61696 31193 90153 08202 99373 77957 61019 13870 30286 42618 10817 28686 09610 15421 00506 54651 63131 96996 62714 50157 89698 17137 76990 26128 56111 49903 65345 10460 74314 10979 14960 20904 49183 93382 41928 19997 18788 07908 73180 95380 90725 37220 80527 62690 23696 61298 01881 02038 30313 42038 71782 08095 48996 85686 15309 70128 53652 52948 43196 45106 02224 49807 48086 10426 97535 65790 23512 08401 29285 09578 06313 96854 77280 88245 99601 14840 45755 58459 68705 81652 91152 97830 00400 14947 40503 99766 25209 02349 64200 31160 89784 40693 15437 37208 81397 78351 29514 40258 48424 19070 25788 91116 17291 00119 88835 09422 71850 96851 40794 13670 60630 96146 08086 64376 61217 84582 06164 96899 93495 74646 70537 15104 23331 73564 72187 02436 65994 80363 87398 92313 23385 52103 70176 79587 32432 93488 89186 77500 22586 57826 45183 36180 25591 40139 50924 03593 13038 10667 61677 04049 92818 07106 06676 13082 18954 04623 38106 10139 96770 63093 94981 10477 76067 98016 40001 02424 07640 13859 46286 62352 63199 99543 91902 32063 56375 17440 95529 09205 55423 94915 05107 68064 21000 54117 65315 64602 96881 14284 22306 13031 42974 36108 12082 59428 45698 69238 45294 69988 08156 69918 00319 63210 67355 93689 51357 33133 96493 33095 82541 13517 26801 11551 27489 02560 86566 94838 05371 16693 20067 84869 44588 85204 68952 76202 84551 43405 22930 13522 04745 66694 46854 42400 88931 28771 95336 62670 14505 38485 26358 35172 53208 24459 71521 21147 74851 43814 39325 13334 45705 16276 44248 10699 06883 81331 74993 71391 50884 38868 68101 14259 89398 34624 11756 87306 13603 27578 40179 44004 32959 46161 21439 89357 74052 92504 50031 37748 03247 82029 15897 05553 05090 34779 31672 26458 57871 57812 19230 98204 06266 50369 97007 41845 37743 06869 74065 98869 40271 72733 39654 45139 26883 37494 31527 88850 22519 74512 25257 03915 21455 33440 81508 79954 21997 39729 05109 17339 05598 15547 22364 03496 95174 57625 00849 05725 33693 39926 73879 10977 93170 99518 21181 84269 58438 54955 20627 19893 07418 88306 03070 98468 84666 70965 59286 63470 17387 18426 57734 27456 56885 98691 81990 39363 69598 57235 64935 32520 40867 96845 88479 07888 07940 94487 41757 97997 98171 17970 09679 18077 43854 85062 13118 73919 60485 70366 41803 55547 51041 08174 95837 54560 50729 94295 13824 81371 23056 24740 97184 06926 39985 38124 58735 38873 60398 89740 00455 81175 00308 06699 95455 15768 79549 85822 38739 34119 47721 71545 52269 60196 22858 80030 07244 09342 78345 17374 18909 20776 25020 56351 43849 66931 27660 77575 25068 65524 97261 78858 81704 73779 54274 32319 87148 97606 85838 31331 76517 37487 38278 57107 58676 79931 08621 66446 12063 57801 71300 39205 66207 27136 84956 53833 08296 59303 10762 86392 54131 57711 12696 11375 01454 79584 78225 75711 54810 78053 01770 98376 97348 33881 85944 05929 46594 76088 34528 49348 37178 46919 85328 82398 17293 47351 74277 60949 62195 37500 85693 15072 79935 43871 00384 25761 99183 88448 16327 91589 31015 25189 92170 59375 35792 86813 41710 74321 84398 16892 75167 32016 54718 38675 17226 45625 53802 37736 76595 86528 26546 89981 79421 79868 82479 04910 01957 74704 80498 62508 46319 79690 82817 01178 78082 11303 79759 35132 18427 73726 59974 19883 78051 70469 49760 14767 45066 87437 67524 70181 30863 92378 15803 47031 58277 48937 31978 20591 27995 08252 42196 28277 10903 61800 35295 55739 57382 26510 83446 20650 74380 15781 44339 02762 58358 42348 44743 20040 89906 22533 93426 82473 02702 13148 77901 63731 14392 56351 29613 88609 99436 78695 77084 11530 79316 75322 10994 78643 71670 84713 68319 00601 49783 28907 91084 78315 00457 47780 20747 13036 71587 52237 23943 07475 05774 24371 37499 74743 76533 61956 62297 78382 92640 33154 62591 43903 12945 93256 54409 78169 22916 37837 90766 65092 61867 03219 30897 97276 30722 66258 20341 80783 15484 33124 61370 03667 76654 46252 77558 48172 52077 01395 68463 57249 63700 69358 92066 03668 27405 30563 81214 85136 83554 11116 49886 67361 07409 79361 35000 53658 65241 25066 45803 39216 90104 70295 42941 64168 09714 39056 11174 21249 48155 42309 74096 16664 99490 80981 52020 24524 13275 15343 47251 85932 71259 31305 17190 84724 37691 23069 02471 89080 01230 14441 81660 95754 59599 06115 77509 71313 04843 24380 43726 31457 84435 63602 43286 28412 57718 73417 57083 24755 90579 98975 85996 54047 88276 62827 89017 66204 86510 44753 40867 81726 60060 49120 89149 60415 13732 55760 22544 79660 64707 81189 65757 73702 43321 94233 15418 91706 90405 63556 43449 88681 58199 95328 31411 54188 87231 26462 12104 11314 09346 74385 89613 39333 84838 09995 78958 37393 36918 86423 98338 33292 56557 59187 10915 96766 64645 96054 55954 35016 70471 44232 07400 77168 24279 57464 79652 99867 14696 07675 33775 21214 92912 14902 95312 29386 12546 32369 85950 45653 14882 86420 63000 05123 55344 20146 82975 96390 55253 85752 88871 42073 10324 83840 49901 78187 49516 32493 79680 61045 25136 57590 59805 74809 26397 20566 09587 44358 47279 99751 36581 20961 39911 22434 13554 94059 02617 50252 59616 23921 90620 52095 23055 62372 36033 30393 42967 73560 34558 68325 77691 91824 87600 67165 15722 50784 45933 17804 22281 86067 94036 91065 19890 62622 82350 80189 31747 53504 61362 59241 71823 28880 76894 56741 02070 96376 49212 93655 64077 88420 08952 82729 32197 99831 40575 16481 18259 95510 70608 14154 84991 71934 31310 83736 76281 16492 73277 57299 71368 59104 72197 29677 15321 28517 73100 37807 03616 42383 28801 69159 95427 56416 55619 51554 90926 15922 31379 35140 78386 55465 08554 57869 10535 88366 53333 50238 90722 54268 89989 10791 68567 99506 78194 91433 80280 95481 05584 98695 16462 57901 97156 22413 86347 14195 24699 77650 99817 95372 35713 08750 64044 10692 51895 55449 91640 19623 12842 70687 13830 38819 72847 98750 05116 88623 52200 23526 89511 53457 07323 55711 32914 48783 67544 59632 43655 92984 18705 72235 19130 91407 11739 31297 49454 58922 43817 02937 44388 73575 04671 73432 66664 80515 28577 12786 68231 90072 62827 56019 66308 52490 26007 18131 43352 44420 66903 69263 55419 58676 12430 62244 63828 09194 71550 36978 53642 27727 79962 55619 24466 35946 60561 80001 20286 44569 58857 80025 00293 72214 08733 45094 45789 25022 71702 09449 35576 85364 88426 47675 47995 15332 11051 67127 39431 81085 41030 22486 73720 88274 62254 09593 28456 87692 79167 70614 17981 04549 77251 96810 44450 50552 88985 21299 60706 36220 28432 49120 94877 15676 57865 85495 00562 49674 40871 86486 54400 08382 34133 39040 64389 79282 12485 23715 30759 30742 27844 13065 04826 15595 16624 22015 39618 67431 92347 97059 12514 71137 57151 60423 89028 66023 52173 51440 17351 66114 31197 61229 11809 55420 39014 46566 83615 66478 60954 92818 52198 36140 89048 54271 33237 17426 09086 47442 60208 84694 77706 20016 04824 49229 91325 63074 54078 28733 78696 04527 52633 20628 79969 36792 65665 05172 54164 44105 17365 78360 45349 16055 94230 19318 55407 25353 21502 42624 41758 15704 59311 13594 38293 36849 39363 29578 09720 82709 99510 06166 83334 59729 91232 02753 48620 05158 75513 36954 12996 28188 42685 90535 21366 97438 66857 31327 33841 22505 09898 75870 60309 97870 31472 07166 56213 47512 10507 39437 86252 60516 97228 29840 30772 99548 51559 64424 92717 96278 34755 14895 92789 00600 49976 41374 47014 44713 41959 81715 49860 52231 18444 38701 03728 37411 79716 82424 93633 01849 78538 61050 76107 31970 10566 98609 64610 74159 69774 12514 56343 15903 47446 20373 39077 99612 37933 56962 10406 72133 45903 40903 75799 62222 49854 63610 76647 26565 83668 51518 21658 69786 97289 07688 24588 10926 08065 46208 11330 37462 96214 65815 83363 87348 34330 22055 69356 12671 51142 92528 48791 32093 98701 31515 80952 16166 29781 63466 83834 44358 55876 83457 18382 94385 58799 06461 70679 84997 96084 38523 23439 80042 66341 25907 42643 54230 15182 38074 67880 49082 13098 74377 20659 59295 35523 94711 08230 65563 53850 57761 46962 07888 38660 48237 87020 82914 12814 98832 47741 71755 00964 96897 95320 03143 13177 31139 23181 15036 21796 19206 45601 96121 06638 38511 71822 49558 70811 42506 05914 01282 24240 43138 09757 28221 28913 33522 95000 43270 62040 48980 86018 52209 50232 44720 35039 19936 92003 57584 18849 58565 95006 26710 74565 18603 23222 83770 52946 13152 95875 14851 86392 56124 49855 50577 03719 81636 21266 41216 40196 22898 77840 10190 24089 57042 96872 77971 06614 53371 02584 73076 78836 83832 86355 22267 75753 03915 62278 40966 21625 44475 80540 92293 62561 30526 89495 60899 96704 04977 94215 46625 09896 33833 58840 48275 89184 68650 92531 21086 72908 49438 39416 79144 72603 97252 08581 83450 81318 42367 38948 99365 63033 53027 08162 73494 74181 77561 84034 12958 37791 57968 42554 21618 37332 48305 73889 81317 65157 89787 39855 91977 36672 66881 37980 77024 01799 07326 47177 51818 88692 09059 46906 18227 67666 83210 08410 62646 36174 83298 80680 33986 28626 61113 97606 46794 02334 75447 26747 47239 06621 91579 28786 55819 66596 59936 16672 93331 01007 67097 88613 97939 82922 47540 02109 23281 48122 06417 00023 98041 47034 86818 47598 64899 77620 07842 54888 67715 78122 92138 11652 38013 70978 06854 37806 84507 65728 87077 81911 56512 33279 68017 14342 98593 37914 58391 49750 99122 27825 51101 25057 62594 91829 96485 02429 84337 28497 05482 47325 25617 24142 32639 45459 83685 68669 88518 61638 44075 82955 21374 59531 95625 11557 98646 78009 29982 33180 84243 93195 24292 75335 91673 53144 63231 13029 34509 49403 24779 42282 39547 26864 21925 82335 20888 86499 74771 55293 48425 42924 24557 05714 02011 71024 35742 37170 07542 90870 62168 06474 22620 32522 59152 46376 94033 45365 73925 45766 98266 86425 53648 50865 23413 52676 20252 36017 33226 33663 42301 03925 94670 19707 77547 06306 15841 19506 25942 89526 66909 83204 15708 87704 53193 88139 57613 68877 27024 43344 82842 75335 83999 48491 83029 63709 90257 82508 67849 51974 65475 06259 29760 44631 77734 45339 38259 89563 14882 14634 92321 87447 14428 84942 77007 10568 51959 31594 81732 84685 91063 84443 11713 78285 14992 69341 90660 53569 41345 61321 72261 47304 04446 45858 52550 47537 28952 84587 38375 10214 87477 76623 46623 06320 92288 81256 35160 76401 00109 61954 63434 51852 59698 95213 70910 74649 09243 27663 67973 84746 11788 00344 64459 90079 72831 22126 04723 48342 97326 91434 02397 37404 44072 05097 12021 94725 92731 22181 29875 90234 27225 43688 59550 36752 17000 51651 23434 78902 97804 86982 62175 28854 02811 79090 31930 39635 67060 83963 32599 55194 15366 14609 99355 84013 86684 76984 47546 56113 37921 84791 15063 63489 22875 02498 25714 75960 03814 41833 83619 87573 70536 73512 84343 04990 51003 25212 42127 56381 96695 41584 88876 69845 47826 57448 36472 63151 78431 71276 97568 33415 44351 26075 52116 69369 08699 42423 62085 00406 42497 78942 30952 97152 25092 19111 30821 54473 81803 17406 28255 38123 51207 49788 88476 36145 69825 56994 99865 33789 35137 95840 91527 38748 98035 46096 15887 75745 04654 78738 71954 42604 14456 31264 55293 22605 80060 75683 52805 18872 06861 24794 09039 34639 51871 09083 17822 20444 66215 96434 71811 63632 43028 46479 39109 47822 67579 57123 71298 24108 28876 10213 59790 94068 01230 47361 89687 53175 78125 70664 08381 77410 77024 55994 72861 95375 55996 28358 05798 67679 44589 10041 60904 35505 00642 37596 46836 20485 21373 90379 14220 55015 88870 01308 33775 26235 86316 80994 66076 63550 37667 03545 91524 10995 93199 57864 08423 74882 41630 51616 77287 62242 99721 46538 81725 76870 46069 06754 24171 59493 89239 52035 65633 01884 48945 92618 07314 83953 35852 17181 15548 53529 79813 79552 06487 37341 56890 14362 47029 36143 96079 88628 55982 54951 43412 80551 02722 28162 80203 57185 43124 86166 89055 52772 64187 18634 16969 92284 18434 00067 63206 26003 12831 64667 36589 99847 81036 11531 23523 16700 03748 78056 17377 30212 67477 57072 04854 97838 73534 43591 33589 29231 69910 09969 81851 37728 02830 60208 08457 21223 49092 54223 65047 65560 59626 67697 10250 52839 66925 68952 16741 66452 59461 95140 34298 85034 75197 00091 55128 86161 72821 10522 76543 25399 60826 28927 61077 99742 03885 24701 57556 30059 81961 69212 86978 02091 39648 15493 78146 29870 73833 25559 04833 33456 48158 31995 89486 43906 57148 73524 53736 75535 59757 22941 66000 31587 85987 20919 00532 20629 24778 12849 47689 36861 93956 61658 45437 86807 17971 68554 87303 77094 99363 84596 49969 65759 83565 84617 94487 65081 18400 22074 28033 30710 61087 30009 49575 39560 18692 30467 77953 97819 21299 28383 14477 73758 31147 84643 53179 33665 40014 01456 45952 59508 46854 06420 93698 50472 30753 52134 39087 84095 92048 50753 72637 42521 00466 53456 78890 10724 32168 12003 18873 77503 09937 98099 22770 30135 85650 49143 90620 20164 34790 91895 46824 18731 03705 27304 73179 76546 65835 44363 05275 11091 79371 68841 28519 61113 69791 24287 38436 08607 22204 57517 11436 37659 18610 44961 49247 02760 90067 26095 04671 09490 89545 24995 75077 72539 49740 93702 42671 12447 25558 13403 41169 89281 89776 95470 36984 46863 48509 50852 11802 27583 21983 45365 29453 39528 11004 54274 06897 15009 71113 63004 78163 81760 51485 29396 66157 25327 26595 98784 44968 77474 12558 15636 77249 46763 69785 41249 03821 01409 31921 57225 92946 70577 92015 78165 93485 25067 89539 73542 82650 72320 02485 06629 29165 11350 84898 36350 50010 59774 96511 46147 32220 99909 78294 39197 28399 42245 33642 48656 86597 79457 66477 65317 48059 19986 87395 67977 64511 50698 23443 44850 69587 22152 41307 80207 60179 01854 66245 63783 00457 48781 35600 55296 52515 50775 81320 77521 01908 10501 11689 80160 10941 45658 15508 09926 20088 65665 67838 13618 37495 20681 39847 21211 84056 74052 47591 07157 92190 86517 70283 36774 13538 48824 20500 75960 49879 48952 67820 52880 23659 25247 54176 22057 16560 20814 04695 49915 49153 25973 97867 28854 24277 29796 66130 87998 27146 54760 86098 07780 66732 73521 81334 72269 14025 98134 14394 88279 16412 65978 84636 92360 77531 42893 54598 22858 96813 20869 74152 03228 39191 70523 81770 85064 72046 19829 10435 89240 69818 06276 34354 56375 39613 78264 85437 39980 69320 50076 30538 68851 70450 05054 72181 29288 23663 20546 10269 00778 20318 90551 61086 07006 30937 53026 31258 87557 09808 13113 57498 53394 22748 40554 91983 57296 12265 69807 17122 15517 37535 88725 33640 22271 53746 77840 57609 24559 74661 80269 85428 71978 19650 11682 79699 95843 63770 04311 56749 16648 59025 74030 26427 99108 31947 66667 87778 78563 61803 74566 77361 35542 10938 90326 31253 96576 33222 39504 94834 58552 78071 53656 33683 43448 86383 96629 60101 00063 98860 33819 58697 44442 83870 65127 62603 13809 86001 81215 08808 14764 52001 52235 33018 87712 62240 83869 31921 43932 92465 42709 54597 89188 78932 17979 91565 38519 17500 26256 46845 08085 81772 49029 48417 90532 85351 52673 85879 66758 28075 75464 10007 61136 20800 96669 35907 60694 39790 30256 85486 91188 13990 89483 01693 81947 11200 88865 94364 73932 03122 09430 74883 55966 30697 05053 36983 74303 08345 84979 22238 95531 89008 91093 04929 93712 81569 74125 00920 78812 41968 51047 50101 29663 93395 23847 76543 52094 74201 14050 16570 16010 16265 62959 47534 44737 58132 30862 53711 53842 46176 58406 52020 07147 46702 57666 29619 22972 68142 10540 71561 49038 06220 95317 20025 41029 42547 79955 28023 49786 77337 25104 61729 49994 78353 14164 79169 53870 57979 43875 58715 14773 02628 95983 91980 68343 21750 71384 79544 94830 08805 34642 86230 54563 72393 25220 70959 68950 18926 72687 52720 96273 86016 70384 13648 37650 01840 41220 89236 89616 87176 96728 77819 91920 59151 34627 11644 24058 53978 70618 64875 89120 08073 75155 10312 03196 97118 67268 86988 41942 69720 13197 00082 61857 47066 88627 00549 15939 63112 74087 24555 61123 77738 14141 43673 53707 65814 78288 02645 24227 89316 04667 43517 46417 33194 00526 53537 68063 49657 10438 05845 46312 74793 16439 81854 21263 46552 44769 67133 86218 16064 74535 70318 70747 52353 49774 19854 79293 44955 91560 90357 35506 43444 73564 68100 05983 35980 15245 21272 01022 44631 80247 73992 48548 88629 33604 64094 20779 33343 79119 58969 39334 04186 88460 86624 37673 45195 28414 54352 98905 58132 85925 09315 66907 88500 45505 70968 44113 00937 20159 43886 91569 09343 87375 75255 50352 32855 12613 98131 06262 21579 47041 13912 42925 59188 08097 06701 79609 46537 97420 52028 27075 20138 00293 95721 32486 14961 06822 92060 60554 08876 07989 38185 62586 88966 14537 58186 47188 17144 08079 52372 64504 44879 26003 75201 75271 04751 40351 33592 42979 88806 79507 04248 45422 05686 15189 46815 76434 43322 89652 37027 85111 61400 26602 80427 73522 80346 02324 91218 55110 93410 51083 25757 52195 42280 92374 11654 28579 47386 09883 71289 94838 65227 22555 44393 57972 42194 62120 47251 39597 02764 09742 94376 80335 11542 97657 39748 93120 45241 91326 59230 69561 88436 04503 86962 22985 30213 25474 39985 58896 26143 69741 67554 39552 66381 59217 99079 43768 84174 42337 88414 31404 85231 16572 18509 01647 42532 27661 76330 18963 43413 78533 93253 28734 30511 73584 10231 93416 72202 25913 54114 18962 97508 69303 41859 76063 19293 07626 01778 66758 80833 56805 45170 58338 91870 86821 57282 27217 86921 43652 30210 93680 04774 66221 91742 88641 48301 31232 92972 02525 30129 12588 23751 58267 49369 86745 32659 62801 79334 50205 06349 46712 44250 65143 60347 18087 04690 46613 51014 97380 70285 67731 01708 84618 33820 06803 46797 62066 17135 46628 93409 46663 73984 49951 29340 18226 62211 13543 65382 81360 31415 56892 44758 32836 70476 28912 94535 01120 38602 17190 60956 52328 85767 04368 07982 97752 32745 10812 74975 36550 67183 45605 49366 47597 17193 13813 68151 88145 00024 55571 29970 84912 57208 82575 84316 91546 75987 77915 28928 63985 00947 53029 47364 64203 29768 60229 90538 13451 61173 14763 55653 20772 36695 94414 61791 78668 31723 09767 50248 73713 62208 59001 83056 95582 35962 81695 15013 05362 59411 08365 89752 29752 53505 59344 98613 26469 76537 79186 73029 21594 56553 70163 24466 34495 92212 10598 75324 32625 31299 64066 84811 97851 97867 82435 26013 41675 15446 76918 99049 38181 87323 26260 60719 94178 23920 86170 99609 23027 83726 10450 72386 81735 05297 34795 39955 04366 66397 34621 19416 87618 45171 28157 68192 80230 95872 79515 12639 54744 87300 88623 42879 13881 72654 57987 89176 44163 79321 93300 57786 57816 84752 00543 45218 97710 90367 29960 84553 70282 52950 59516 84217 54007 08162 41243 29895 89034 71977 92438 39617 81938 04379 67843 89482 75283 34414 81474 35436 27371 48577 65126 74991 95864 94535 42581 88256 17854 23506 83090 18068 40639 44261 29364 23699 66886 74705 55962 11531 76219 81243 32142 94291 91226 71244 30408 49828 92731 83299 24793 92685 20955 10395 90717 03395 11608 55374 41378 49307 40936 11279 35065 83945 18255 09016 89160 42667 64841 93520 12119 22030 90009 95695 37716 61525 26381 02795 93310 47052 05431 80975 01389 89835 72242 07439 92463 91049 28467 89457 79177 58809 99980 17511 70436 90449 78572 62560 32633 73650 24490 17658 22432 45843 64692 95048 86142 71902 49904 48881 86474 31121 19139 61337 75426 08208 70195 11640 26189 89458 98230 64018 23776 44671 58290 50523 58591 64161 62200 73223 70863 25305 53285 11809 75056 27287 63621 87885 07479 94916 83941 45315 85137 01648 08221 81322 07692 14393 07870 19795 13613 53972 64593 31323 17467 36936 82434 53700 19268 93107 07994 19296 34884 83569 70447 55410 27760 37042 77993 65828 62182 89750 55764 98032 04491 05346 10903 05509 79145 13511 92676 84442 41385 12690 48593 80942 72128 34885 42045 00362 59024 18900 38223 31770 80929 74847 65165 53050 37733 99876 46968 73856 17706 63826 73858 36531 79607 27696 45769 92254 06057 55723 77986 40449 82975 80859 09720 17691 55005 52689 82878 11479 95270 89579 19200 79926 27378 36755 08261 04965 78422 94126 26614 39548 94571 92676 14398 56214 08021 31953 71811 46800 11338 75631 87251 52490 68341 16786 95860 73800 08288 38764 67022 74826 45286 32878 30465 80348 52846 94911 84620 87523 79754 03498 09049 94245 77494 90808 45345 41130 95594 11047 09469 55273 99902 71090 55799 53914 19694 87112 16300 86080 28557 31472 65161 36296 17162 51205 56383 27171 69432 92610 91170 77075 83625 78399 21609 79116 48034 38584 06508 19219 18830 58414 70638 42723 70707 07144 89755 22349 57009 41131 73817 90445 20748 28789 24145 88927 71300 57203 37179 48360 55163 48167 75653 58306 12457 20422 47034 81632 54072 01847 29875 82269 03414 63358 14317 76860 90717 92951 31850 11758 45017 56057 82930 55684 36752 12019 06146 20134 37490 03874 65251 06793 53388 30999 26551 40032 57969 12002 08003 33120 72142 14216 50778 43972 23431 73649 20027 19014 16627 00299 64046 36809 09351 35969 52377 00390 69617 21177 99662 44144 31558 38662 84330 60918 94967 63450 28966 62853 22079 88878 15726 91201 89452 22070 65301 71220 99675 43610 17362 67358 40441 67089 23236 14253 77192 69838 09368 19892 70368 72081 87772 59022 09137 41165 24103 09623 52842 98322 15321 75104 46705 92245 72835 65052 20902 48046 95180 67444 67689 85096 35298 37568 78181 47754 27584 46527 18562 30239 08025 04522 14083 74566 58170 43016 00778 46378 55526 27295 68582 89602 89503 55195 04754 43477 65419 46916 18018 86176 84835 78089 63151 03474 85394 83388 68849 63402 40447 47971 49565 37013 89579 95103 65692 93142 17787 64162 82905 14706 94627 06698 12578 06238 94885 19535 93904 12061 52592 69356 00064 40284 42419 75786 35542 88452 29245 00340 18637 83355 11837 69654 06490 72771 82737 99985 94371 86229 62129 91706 29178 05259 29784 67810 85597 22754 41463 46044 66786 58591 28327 26037 08294 44614 40851 63079 59545 85899 36741 37623 20052 97398 07246 16679 19609 09313 53877 92115 18485 11920 54986 97923 54475 21419 49793 66701 12587 98295 60844 06455 10874 74873 92342 72995 72939 94093 71915 42697 38142 56958 94855 75714 31571 42856 33076 23632 39562 89804 29995 52695 43022 19287 21351 84793 14695 47518 74086 92888 64559 95344 91667 77201 47988 93529 73617 53282 56546 44413 34110 02582 97372 41127 92483 69809 57085 26004 11779 56163 10952 75644 86576 76473 61711 83141 06297 51702 84941 01999 32426 21109 38488 87887 18332 67469 50810 16886 74353 29299 29265 69729 24861 72746 19507 29429 44497 72359 30615 10345 16604 98268 99964 30762 22960 21482 07800 90986 87784 82374 92772 91327 55254 33770 04144 86317 80073 26567 43280 34286 52050 50236 05146 73462 81726 12842 73669 48444 41693 80166 35849 49427 16451 25965 17549 17970 35389 95344 18390 74888 16579 17763 40585 82030 40557 34503 55123 80559 37211 47897 56364 17447 93423 97824 43066 71982 15336 02745 77620 50360 28809 76216 32698 87891 14722 05328 73690 67746 33901 00553 72215 39701 35870 59102 57534 47166 74466 74143 90119 86549 69135 36361 90208 38011 62412 99880 62724 04809 75176 36409 40747 29826 06801 00741 31646 11820 93130 22399 73348 49377 19281 93996 64970 08195 16733 60812 05818 48450 08778 89924 15858 11693 36619 76060 19875 37839 65450 07361 20102 31264 32581 52094 17366 49187 56542 19403 99981 60212 20381 62243 88540 27054 90587 17979 60874 39803 47035 75270 25339 43215 67950 44144 57481 91235 84492 78617 32811 26185 35258 16397 56504 30695 49364 09968 02444 42024 28313 15128 74211 34296 85026 78020 44608 29655 75310 74606 93917 42320 05376 88389 57181 60885 58161 87972 95349 74834 45656 95630 02333 39668 15266 81784 01212 75152 34160 18042 42428 29889 42445 07230 17376 35524 23451 20144 24443 62325 24039 62282 56705 64515 70738 35396 95038 29799 34079 19865 98202 38635 10142 26285 02167 61453 89029 42931 58187 73178 25826 21241 65255 57415 16925 10202 94649 04734 63375 93050 82638 08232 98237 84933 45233 83578 55730 07632 74115 63957 33183 66550 70805 47849 93327 64701 31356 13321 71634 30736 13307 23022 71828 04280 86769 56680 13105 27753 14414 18986 43885 16418 25619 98212 76619 16966 72333 31167 51692 08769 87084 79566 67774 12409 21774 07347 86980 94876 08914 84077 97912 31342 13497 72188 44659 10782 45231 78707 84440 42666 77784 48811 51115 05095 18299 21946 93161 31450 25650 21733 40417 93298 83306 12374 69570 21290 79137 90071 04354 71812 80116 82049 86704 08386 74959 22451 16747 70090 55376 15558 31970 60192 16998 01528 92752 95249 11055 75938 41993 47306 09784 89187 19638 63032 53535 34019 88538 51968 69094 39551 95443 32479 11209 65275 51138 80419 74334 07494 71677 33431 99579 76378 52382 32477 81437 64294 44896 99076 62046 15085 60606 90340 18135 53064 96088 77754 95552 10812 75307 40747 90910 57174 19509 25041 01319 50902 75901 24491 48017 86376 38958 50517 23256 09967 08869 63041 04825 25209 35173 17635 12778 82082 35556 25774 34085 50507 64729 47493 72367 26088 36096 44931 24703 45387 42795 46887 30137 34683 73706 17837 33847 31666 91702 47427 58428 03097 21410 82349 05064 64085 47022 29768 97859 78909 52359 52189 71101 32885 76538 04943 33737 00090 52223 10852 91406 66682 87443 91173 89739 05645 91240 20665 35882 08255 35190 77510 95424 28676 03129 64907 26033 69698 42937 15591 24101 46608 27347 55836 92160 68053 30784 21758 82329 04317 19451 14636 47445 69630 68911 80476 57749 43236 85799 64523 77740 67988 95386 58187 85190 66630 82087 70345 78353 71043 11086 14055 72365 94710 87890 02194 83305 23656 00270 69448 98191 75185 81115 17769 58902 20553 12347 80269 51603 56143 50807 46482 72351 14821 26770 42450 37163 67174 50829 84630 04398 67118 35902 22222 91850 70132 56929 49179 54283 55765 74447 88124 41938 34355 64975 66033 75677 84827 00060 31745 01830 04193 37411 93769 06544 54266 65284 76642 70085 91987 14718 46053 78025 97989 30622 39296 36911 29032 58691 04472 90126 37311 69233 17911 77583 24516 04445 56258 84089 80680 00924 69365 77434 65324 51742 90647 06570 83490 23502 64203 99258 83603 02338 86287 66159 23125 90674 09893 50972 26474 54943 82587 18149 17776 35223 85698 30656 06083 99826 55157 43065 20322 20817 42568 63805 06217 40820 91162 31309 68288 91724 69103 24124 75490 26577 72492 76199 21703 13841 84017 14363 22061 08309 07698 10157 68225 50085 34817 44568 60844 07036 25157 11194 98673 02356 36549 18450 78552 40638 80617 71686 96779 69945 31744 08200 74580 28837 69500 26975 35184 85627 44573 66423 88280 53302 26852 12420 45490 94062 76917 69761 28090 59010 03807 84818 16553 43686 12443 85370 95815 45821 02447 77121 55589 47851 51618 20877 09991 24983 37059 17893 06667 91250 75097 78281 19096 39169 87072 32782 48013 39049 30427 73683 10400 26829 43475 21845 75604 71154 34870 84986 77031 31206 64870 18438 25800 67395 88172 50612 77735 75268 89514 22938 08641 67364 40454 74091 46002 20240 19849 40401 25621 61797 87973 35439 37456 83218 65083 55389 21057 82185 22005 78717 38924 53642 50831 51055 91643 11030 72227 29995 37423 72367 81095 34149 12765 74153 71061 00840 19297 70617 12538 44019 95735 10214 98742 92234 37391 74741 82332 25243 34061 52893 38773 11150 30764 66700 04513 17157 18788 51187 58250 11365 99466 75388 92205 04289 61330 25252 30893 32647 30391 31885 10382 05666 56962 83865 59161 34398 48106 19486 90919 56758 71107 06214 36984 60103 62569 49129 44772 75182 09280 31872 45717 25080 87782 31766 53827 22306 72929 71170 86270 14347 71048 25635 93170 99173 37417 14306 57784 49859 18489 46489 27805 82664 51863 66959 93910 45455 61653 72821 96214 59619 83467 05104 09195 98732 16283 84215 22218 35661 53792 08150 33386 30128 09873 40625 16681 27465 50651 55738 92824 55840 90026 26355 00170 85798 75091 94280 23715 12034 04610 67124 25422 24592 48560 07274 51580 22985 85494 26747 31064 47097 78985 25150 58805 66764 80592 68368 61348 27381 18314 53416 44800 66601 21181 82860 66708 54394 94056 79790 51947 09939 00621 17403 84571 01294 38500 73755 34482 51840 12625 25013 68231 74631 86371 18357 93192 27857 60475 49189 70649 92062 27710 45085 22397 13673 40089 05993 20875 42010 04528 71034 54410 73835 52631 06877 13342 92827 32381 21009 35501 41934 24954 20268 53903 42492 21178 66568 43093 28210 08384 51341 48487 11228 75735 30152 00021 22353 67392 68074 64171 65545 40394 18089 29239 96910 08304 53727 22617 86032 83119 54076 70922 64551 14138 86728 86815 41005 58514 82970 33397 30916 49376 08170 08084 49920 20262 40965 48922 47311 60221 42283 56392 21731 17705 77285 74890 49669 63796 42790 38671 88266 84687 35863 17952 09718 16344 35060 20432 10594 88849 31743 53895 79103 68342 16759 07997 48505 72435 44043 33164 11459 17344 04725 43373 52508 24014 60348 96179 70732 60332 17646 92670 47309 24778 00399 41641 49631 06285 10063 44363 30616 38600 71974 13369 32983 29905 22662 22411 32078 94272 52840 91759 63614 77830 56668 25400 77510 47758 19885 23925 25815 07784 76004 43646 23111 73803 98461 86948 60354 11580 29274 16062 83325 59138 78800 67940 76410 86947 53760 19454 88777 43040 13246 17795 56620 65940 48866 14004 97707 64185 41545 56498 19581 33817 18203 74387 20387 57935 09983 80914 98293 78340 63651 64147 61408 81147 30862 06805 11243 06112 30229 59203 10725 09534 46111 75894 40990 97383 71845 91176 93921 62061 51004 78460 87603 10486 98816 68115 85811 17778 52300 32892 53658 05337 87584 49761 61464 69275 97035 49986 19495 44752 73448 70190 06327 42993 78727 12299 76411 75751 31714 90089 95192 71057 78864 84686 13733 38856 77753 47789 83023 21288 98192 65749 36990 40617 03022 21196 24553 92073 07714 35712 25656 52528 76030 94558 79655 36619 51610 65019 10870 11615 48246 93695 78428 06742 94628 69935 16156 49621 20772 07578 50624 60217 06222 60329 71631 94685 29579 36589 54646 09133 03071 33395 43870 72183 33019 35956 13232 48076 21744 87419 78060 55935 58798 24190 77378 87593 49692 20878 91205 74891 24030 20199 77047 61977 07060 68599 20585 32467 61698 51645 33971 40150 18849 63503 96407 14241 10999 25177 54245 91623 36720 83146 86366 57673 31555 29801 31598 26928 51598 92616 51116 27469 29261 08791 12392 44523 45881 44671 43019 09496 63323 54418 04068 90328 17993 64844 90944 32274 12145 20912 00256 73204 46636 11713 96204 38410 76487 63337 11625 86847 94436 14018 73352 50350 84597 13902 37381 34257 47893 47819 02912 06817 87826 79706 78929 79937 36612 89506 88109 33559 12971 98327 72636 14795 48135 31760 01903 39381 22346 16159 81537 80825 19174 10631 32603 38160 47929 74052 75259 27129 06037 41234 65369 92362 58432 56279 03208 07067 48083 24755 06538 27655 29040 95489 37231 95027 81915 45891 33796 55929 45618 76829 25537 80316 78695 73019 44300 81987 46109 12434 26617 50465 90294 82606 91621 99919 41912 06883 39298 31696 25759 55485 84665 93897 55610 72892 89800 25686 01162 15858 84362 44237 26367 27785 69824 56236 83548 93921 24356 77875 49159 63215 92634 77010 75158 03046 30613 58798 13271 86774 19489 49432 29174 86168 46180 81692 22978 95542 80990 67646 66201 32724 15731 18702 61985 68633 76660 48046 09748 66213 28190 04738 92097 36745 10544 66945 76637 38815 78310 77490 97145 79150 45191 88526 01340 17065 45565 76186 64880 90852 16996 17097 62034 26264 90848 21882 24186 27857 50615 93616 18955 78825 02210 17929 77073 14988 89706 60005 07097 48495 04397 77556 53116 77368 27810 91753 37929 57494 86952 18331 15951 94158 28321 69196 06373 72558 50952 97167 13848 80216 59417 52038 30762 39254 09215 69458 01077 36362 88994 56360 66086 51723 52715 95487 12053 52179 79694 16474 30959 96592 00340 38335 15738 51345 42290 23667 90774 61324 65061 36329 15703 47754 25603 93079 80095 14264 70080 98957 55270 57524 49567 92038 02765 95306 77025 08875 19332 50548 93216 77761 49144 95822 59299 82587 42151 20381 97482 76732 47758 41001 15552 83439 58350 68950 13223 91869 21113 33505 32673 03424 05305 45082 29699 25643 65952 44148 07030 76846 68980 98186 50838 55494 00920 53486 55660 17660 41911 00662 47508 05588 21191 98423 30149 38111 43792 47089 18003 16728 31464 23721 81640 84564 09301 22642 33325 01450 94750 70716 04790 40801 60732 98763 63310 01921 93730 74534 92200 99598 41889 32450 36499 26554 72377 18397 68104 73433 27723 13342 92493 41712 03607 51774 47681 14814 90502 89296 90718 66304 56900 56457 97671 12542 17546 08076 34250 60272 54718 93603 58940 03556 83212 67171 97258 95815 65579 97199 52643 46635 47211 85109 96597 94049 86390 02412 44062 89802 54996 60737 20318 20238 82860 46005 45909 30784 93773 79581 07580 87573 52845 68640 05141 38627 84734 21986 00211 94097 62464 89211 22134 42557 92477 44617 59562 44850 06170 40395 68494 88872 26468 17554 55194 57133 97782 74897 84702 05982 53822 05224 06407 15050 07764 67021 57862 53207 09010 79429 89666 08592 82273 61938 91812 01348 38766 23590 95248 06499 58406 54448 40529 43154 57696 51449 20033 51759 36648 45895 34494 40080 29360 57133 40500 96420 02975 93395 90516 51170 01843 07837 62153 41995 18410 54927 15117 41829 36088 96626 79128 45938 42813 41863 04144 82601 55982 73904 20009 87942 38022 12192 00628 43985 23981 95506 68437 98242 10038 28862 71386 45284 51884 71575 37262 51245 29909 71396 69638 45499 07774 60194 96198 41997 81371 69386 43529 37713 58476 86101 99847 08849 40455 18292 75092 56112 67499 62036 85215 49932 64494 34802 42660 42494 55228 08085 78195 16964 83549 32163 84433 06286 60610 03669 90954 25508 75994 40488 82901 54357 43478 68342 22223 44166 16639 34148 84426 73210 50089 16076 85349 15837 06870 67320 02037 11105 62182 20093 67273 31255 35281 90586 47688 43349 70739 59222 79803 93234 90329 80340 24540 94847 41148 88213 85285 32820 74603 11811 57872 11320 90684 00683 52416 20795 54849 23001 01109 29910 93053 51944 57556 71850 20292 00434 49275 01553 07204 51083 10516 77381 46274 24548 52854 09345 96998 30188 50615 92910 15845 64574 38284 35284 72797 91859 12819 22746 90882 89685 48797 75619 67190 97851 79421 93692 54653 99339 66937 94499 87197 01624 74391 70243 06100 99395 81154 07044 32078 98144 57063 74383 61297 91060 39304 21351 19981 16496 81373 33683 86678 15445 45587 02432 56329 22194 02374 78666 44004 28336 84711 01830 71563 06126 72764 78065 31045 63048 37437 00712 13219 34607 66746 97166 36185 55557 97711 74923 39917 47970 38115 61046 07671 59132 57765 17420 65454 42276 37549 96040 69320 68573 86255 30591 70556 11230 86810 36126 27183 00642 96037 75407 63834 23504 23870 60590 17774 20054 94830 76599 74121 61616 38814 46590 53508 44714 05837 17697 20043 74752 88025 89919 06740 96322 52858 57042 31071 35737 97621 19420 22248 57508 74660 32837 26033 64802 88718 34390 95879 79403 58415 25074 96023 31443 13156 49854 06477 92068 50384 11468 97952 62754 55857 11887 52763 76976 88274 21961 97318 42459 25731 05623 86949 22836 61767 02569 05368 35722 40610 50903 11981 72088 90011 10499 88950 70778 58828 72529 19953 66247 59658 84122 78456 15182 82587 62472 06518 09514 60199 28808 63224 23161 20356 49420 16236 99898 57163 99491 67378 39644 22752 36734 39131 79996 20569 75553 41126 92019 85784 06916 00680 76543 95275 79499 48980 12600 01750 22023 50101 18900 13241 57291 65066 86783 63783 15993 35966 91764 44328 24529 58982 37625 99965 34181 16720 77390 80918 89005 81402 85375 82145 59904 79703 58384 38248 68067 88182 56179 67856 41392 16152 55760 94450 63038 72592 15723 79401 34126 89330 25671 08865 93310 05660 04684 37170 08077 30610 58884 63458 64567 64292 14577 82709 83404 34692 38773 30820 21911 40406 14624 69464 14768 96664 72447 45312 28581 26207 72483 68345 27893 91741 84199 25914 80111 05229 83089 74524 97763 16246 77706 41364 70289 32249 25239 82172 42603 02111 06624 25927 36031 45520 06931 97715 77766 05347 95349 94725 37610 87414 67332 71414 64930 53869 11655 66554 55354 34501 60785 78677 22317 64397 92524 54947 74248 69056 44557 57920 76387 91979 53951 27909 26376 31337 03268 00643 85407 52329 55830 10821 05294 90904 11383 49330 94612 34558 68311 29875 35350 39546 71390 26054 27438 88795 22773 54080 10961 15850 87534 59224 71192 81253 48831 14312 49394 45090 01855 01449 97810 78493 86072 33338 60229 66208 90999 96938 81077 11607 50454 18389 59950 92914 11164 93246 15365 70919 60448 66566 89190 89591 12894 57669 62453 21664 27260 89429 53636 10300 51751 42364 83002 48472 93324 32409 74606 59133 53081 87539 22818 19917 21320 43455 26886 15466 71344 55630 89576 59088 95582 20896 25803 19344 36321 39524 62351 34710 60095 67621 19922 62666 12003 40868 68784 91588 46849 32880 46009 04279 30652 72532 46318 86544 56574 14710 82302 71939 26371 57984 97939 21410 66043 16623 32948 80070 23041 99682 05926 59322 74115 90555 69318 77523 23783 13475 79050 72477 68250 08967 43466 23257 03297 47641 13154 75541 59586 28540 61195 60050 53739 30908 03824 02980 86295 35951 38889 60182 66734 78766 49993 45246 75637 58545 47514 57820 40971 57044 88068 54432 66861 95157 69009 79881 02106 01256 47866 30323 89202 76305 80379 51285 75315 28419 10373 24408 09487 65986 78303 24157 65296 76111 06167 14812 20411 10163 97379 05317 60606 11130 70478 76794 03875 82946 58960 55979 69920 51874 28004 16150 28578 90292 30244 65261 58830 07714 54568 04628 11881 63033 39660 11596 46395 39038 12373 24671 14356 26945 66762 76420 59774 82088 92490 39885 54293 28248 31626 71126 06436 14335 27007 34357 80525 83567 30119 81608 73228 26602 84158 68898 11646 79132 79917 77656 72484 02542 46402 08589 84336 61029 24929 22952 10570 65287 87871 21078 35605 23566 98015 74728 63843 64388 79523 45002 32262 47184 92404 98114 60649 25285 46222 70032 48976 26983 23207 60047 72117 67666 65947 32973 74294 20260 61625 72620 59209 25857 41866 43011 36666 96842 54353 35198 31004 62481 55779 19893 90802 27160 21066 47835 63339 59388 27662 07727 43010 83073 47764 20890 85531 73197 52986 88506 62011 64149 85318 07178 41724 05620 57298 07393 69619 65577 29998 08670 48292 52025 76818 82638 15099 53515 45234 90262 02299 38944 57045 14062 42927 51832 96242 47249 59401 11317 38126 68557 21296 61936 66552 74682 65733 70224 04045 13951 75179 11674 53871 03758 14931 83115 17619 26234 62505 90038 94068 16690 88515 40972 71322 35648 56684 72133 98643 48659 99164 32620 77749 72893 89842 32769 41096 36597 19139 90684 18466 59304 32626 20552 72586 24903 05068 52471 58081 89706 11725 93859 82993 35159 82188 42249 14213 08365 77574 76179 79471 19917 09712 02270 30513 89933 13977 84352 04140 23746 67530 54206 06452 43376 02111 14348 17555 54627 03189 54518 15327 51340 17058 95477 70589 90119 16917 05761 28109 59471 42033 31549 21940 97896 21452 34103 77436 04735 15674 50909 79614 92238 94255 80771 36421 25870 01084 94547 33244 68038 67772 95230 49136 03954 36186 59318 43223 46317 21225 95068 68013 22968 32666 54023 39782 76908 83786 39147 86702 26904 77366 05122 81309 08591 92332 51778 18121 61928 30174 76647 61895 91088 86727 32270 00139 27871 20388 35928 08010 21251 57656 55757 90629 88423 53491 14316 90558 65981 79820 22423 25609 49440 26743 96101 91171 63911 84330 08135 80907 71309 54836 03413 54051 13617 75492 96545 33714 77174 36792 72733 77636 10776 27711 61119 40787 85748 73584 15024 62600 06051 31362 83492 33076 98914 92937 44796 07526 22909 91914 87130 30109 26362 65834 90733 34801 15766 45117 43772 06471 93401 69799 64098 76633 49223 29935 88185 26531 78252 36824 65579 09046 94694 80502 33897 88972 83156 64455 00295 58375 46615 42644 51240 29339 71336 42086 42401 04204 60173 99927 41739 38318 73222 54117 64173 28565 75566 44708 28827 32595 22935 87620 84129 40147 04701 82527 33266 26005 84280 76826 53833 53397 42930 64601 87876 62903 38588 62113 44786 88039 36158 83910 26899 22633 32531 97872 71914 07730 98699 02775 30317 91321 31017 50624 94058 44391 04263 21825 09428 56845 16343 48602 03522 69756 31045 18090 29217 97624 53636 34544 37112 05588 33540 85104 76561 45149 47889 04694 41732 05202 36234 18081 43076 48329 34314 66424 86148 82522 87186 22483 67671 36614 59251 47327 79675 98877 73048 59543 06745 03615 41130 77849 18890 79788 49259 58871 21923 41980 39378 97621 01625 62106 50004 13304 62355 27825 04625 58149 52448 53933 65604 39040 97402 71182 95279 55826 32362 20965 60376 43495 99742 90829 83808 61510 34311 21597 94514 57045 32359 84031 25289 75147 65904 31999 58738 35466 69521 94620 98356 32522 01248 03486 77677 30812 75055 07316 19888 14126 62856 55743 65521 36989 64145 01279 48072 11163 59581 56660 88197 63053 81051 36180 19008 42267 07675 32569 29116 00099 88862 63434 48068 02475 32116 48578 53685 82701 61332 98248 08020 25544 69063 49539 80128 74612 79709 16470 90436 39975 40229 99979 43136 39051 91775 11867 65014 57862 37948 22554 89379 16767 52121 07610 51379 30501 75005 07055 86217 71540 58615 60104 12051 55115 26255 64040 54321 32465 50214 89227 30515 96267 04378 86673 17515 46616 26478 90429 47716 88569 94467 56492 19188 67594 44892 74725 01523 58902 02337 29000 27082 71083 90051 07254 82162 61760 52201 39453 77457 74746 90356 32041 08056 01821 60401 10523 40973 76192 95277 18707 32466 31050 06502 64866 64227 39562 62637 43088 89147 72330 16162 05591 36284 69592 13859 44173 01024 43720 33659 81496 22117 63912 81713 76411 78081 21178 57131 35339 11818 55189 00502 13999 90658 26790 32291 10291 75168 38696 73028 11204 21308 77356 17858 22624 11585 59683 55617 43361 46201 15448 63007 05258 61732 75092 34467 52217 55499 72692 63960 87094 59095 07007 04693 24597 61140 96050 51589 12232 78638 63902 91964 16562 96770 08259 71939 42905 38044 47402 27344 26879 36998 37068 54570 08929 14240 11040 11641 28123 87138 71360 71104 09658 83625 03150 85148 20904 27720 10747 42960 00312 12399 22581 42341 28218 20354 03210 96266 85621 87839 25402 19058 43484 61825 20473 82495 07954 94394 70170 75460 64788 24214 90435 10078 68738 16266 80289 09053 81254 12037 30026 38284 19980 62410 02748 06125 48001 17512 35867 09811 97225 58396 03440 71577 99658 79036 43248 15508 97985 97370 72223 99089 06480 29758 80428 94006 18975 67018 18305 11527 59651 50768 76983 27962 66477 11233 08045 54188 31954 17481 06857 20733 65145 82518 44923 75325 09517 20003 54670 64318 72421 07729 80486 18380 08169 15502 53716 64476 81794 18446 32707 85356 96622 85361 23676 85385 70804 84695 85771 46657 27715 45684 90458 80014 05608 25576 44863 73777 02747 73672 55027 41031 77364 99791 12667 07413 22838 45792 92349 96826 27839 56556 83560 07823 46414 87544 46515 97426 27622 89245 93183 47029 45234 46405 23601 38877 53561 23930 93128 75513 19385 12626 42242 49764 14858 63053 88314 25126 02470 63435 81852 48344 02568 06264 13756 48700 55051 94829 54948 85509 65496 86503 42970 60362 39554 55217 68067 63319 55902 37540 28618 70918 77783 99638 65035 79551 51891 98492 34607 02467 46140 38130 45870 73509 77229 40085 65918 45923 76385 16193 39754 93910 44842 34874 31686 29874 26440 20917 76747 41516 52461 12641 09185 54170 83144 24592 19413 35575 26417 27835 27359 97570 30951 34945 98958 23417 81954 91646 11825 57213 41693 19338 37204 12950 87764 47793 68184 53894 08167 39959 31423 97381 47321 94865 83941 66287 73978 59671 89302 66917 48050 68774 48628 63455 54120 79957 35866 65961 97281 73465 84501 11211 84415 62445 15154 53351 43257 22096 45006 99872 64671 02096 32159 41374 29139 77076 77039 65004 00019 87316 37444 82352 37426 54636 61248 43135 75109 22464 61974 29010 66720 99512 15432 33897 26660 32547 02106 85852 98521 20921 99428 16809 16565 48396 84866 12214 52244 43091 55642 60519 74569 01884 96771 63557 88984 22769 95166 23641 08053 00436 57802 07422 25093 43715 89843 61087 76731 96072 60011 43266 79114 00659 85938 74176 18198 83179 00398 73838 74172 26670 93758 24559 28748 93420 99334 38320 43604 62789 12663 63961 41759 94310 34895 83414 71746 48350 58661 56295 75191 63858 85810 06095 41824 00632 25014 78040 07120 37484 65844 50718 56344 54863 90669 10107 07219 71694 03887 86687 40968 84064 21763 15114 37415 57786 53571 67062 46392 22617 64667 09810 18681 71165 43582 80351 87289 04709 79516 18286 54497 82421 68413 74611 54778 47797 62113 17009 75941 10473 33919 48469 66665 34348 37228 74814 25885 20371 79608 62147 52247 31068 96659 42658 05168 79908 81810 08534 79089 78690 44806 10838 57334 61630 92974 21827 37541 39539 01833 45230 18242 14753 51354 62809 37976 71594 15361 96835 60383 40588 59871 72951 73805 80002 82440 78582 85287 58468 95934 83468 27263 68552 89464 03574 42103 30562 15174 88081 38703 81359 22497 40091 24179 84531 85362 06122 09717 21234 86083 57731 67710 30107 42815 28296 43108 69707 76593 64311 53163 03986 53609 34874 93722 52856 41051 26024 79866 03796 34253 71939 77134 56939 82025 32419 11604 03853 13083 76112 46590 17056 61767 14253 37990 28896 19496 06079 26262 52597 48633 45820 34650 62944 90053 19448 57546 53915 64264 58561 04092 52980 75931 91688 77645 11562 17377 31012 08572 84470 40619 12839 76004 12463 11543 16159 94188 89975 23925 16113 55027 84206 13176 83317 45683 91619 49324 16900 89204 42115 36552 19111 80426 44173 96181 56901 95620 13319 33121 65204 12814 26954 85415 79492 23938 81097 10469 69247 34997 71761 78737 54023 34766 85018 05383 32046 20582 99342 36064 70920 47659 23543 28053 19976 76685 25814 35719 69247 08507 32505 35121 56188 18492 09103 70485 26782 49892 04202 15482 74492 67525 34530 66270 83233 20402 68467 51792 93459 09240 87843 88933 26582 36915 23943 72593 87097 86127 48846 70120 95699 80517 44381 18492 37789 64516 23108 57534 44801 12246 57288 16355 39105 45026 65286 61774 98405 33048 68862 39687 04249 01592 88175 13966 05490 82658 06768 09788 14232 86031 22387 95620 84587 46769 26640 43496 05685 22481 76823 51013 46732 40564 66928 28911 71232 01947 71529 28861 43669 11775 52313 15484 89194 29167 80497 55691 39545 35488 71339 47591 35072 53161 33534 10874 73935 70672 78086 02097 68004 90490 70718 05297 33865 76869 69434 66458 48947 82273 83598 80341 05432 74557 91193 10382 97786 24410 09981 85630 14861 74402 64816 81784 93203 34736 17882 95148 86877 31290 02390 84158 55218 56563 28021 87469 11320 82790 97404 86437 33919 32706 66114 13521 30254 31879 91389 21092 31780 62832 76688 90231 92001 94237 23971 17468 51620 46762 30470 52427 38410 33681 73953 61368 03863 76415 82585 51383 08421 72947 00902 15521 28960 67522 63038 50402 49842 21452 33334 58174 12992 55079 29755 50470 87359 75603 60619 75083 50439 26920 88822 38736 97271 49149 13414 47217 81187 11227 38461 52286 64718 79937 30790 51522 20634 46055 96222 02828 72213 24779 06107 39452 59039 62469 25585 63995 50266 35974 78197 29630 15988 88454 07794 85161 09917 74054 43370 39650 18643 97579 21986 55460 89260 58223 55623 32653 42177 18082 85204 75797 97681 53871 75746 31402 11652 08331 72619 14386 05023 44164 50841 67973 21113 59391 44581 67084 02059 53554 39187 30121 72510 04481 79977 33502 56776 39943 44272 18597 12341 32743 95322 52302 98100 48288 06396 63919 85822 00274 41464 68937 92710 98542 86504 46952 16356 25818 87254 32682 71881 10983 07862 87010 16717 85372 67723 73471 93562 82285 65747 46825 63174 81422 78251 83978 68161 19154 54210 49205 03639 37485 79365 18251 07166 61554 01395 22862 38426 16548 47765 92463 01637 59842 56563 38639 70762 11106 36431 31226 32618 88926 33034 89981 36202 30925 14562 84857 07095 25031 50486 52600 23246 26625 96144 86746 44214 68233 33305 43623 16305 80401 08437 90924 48207 91317 40937 34574 16993 22732 40542 58376 58298 80122 51825 79831 12504 83942 08836 28983 30711 49709 60894 36756 04893 93172 29717 98744 93716 78562 50635 37080 54651 14163 99400 32984 18508 09009 32220 37229 06764 10890 99061 15389 51264 84001 67689 35116 98957 18885 65788 35087 58180 48309 30070 85708 13890 12552 62999 17683 21687 32522 41777 40650 53013 62487 76319 92102 74235 14298 62829 13858 08177 59625 05692 61914 37669 96331 96953 64261 95443 53230 62478 67026 88963 77103 10882 07850 74376 47842 58811 92394 35542 23103 12712 07827 06357 88174 80723 10364 66600 52855 94363 19141 25316 62817 94850 42091 81155 85294 04609 42687 67962 22382 26137 65857 65118 39667 98099 51889 88595 17140 63712 57691 46077 96365 90545 65111 80411 08086 46039 33387 01834 11778 39832 18545 80216 43232 45579 42657 89222 65695 63924 39218 17879 86821 68319 53608 05554 73210 98909 65363 18180 78782 63499 72152 81950 53723 18258 72719 90832 27934 22634 18357 89300 86809 10370 89038 61473 44526 36404 87119 55405 47895 22924 83986 46753 45848 69864 91462 43005 69305 27390 13116 39792 01154 99619 71541 36249 50812 49605 38537 14980 09530 92513 51310 66044 47077 70101 86915 00776 98914 89140 74748 51892 55771 16860 61750 05222 85767 12182 75181 07144 33891 01137 02504 77624 35970 66775 31524 83722 62533 55996 29701 06897 93652 32205 15683 91573 65078 99190 44985 80704 27098 84809 72838 72857 82648 25704 01357 41868 46534 27366 36691 54127 58001 20029 71960 44862 67138 53088 50202 55447 24918 29797 12305 65424 12596 28301 88995 26912 66877 54931 74096 24409 54152 01298 29812 66509 32005 36718 84233 74231 68407 27488 43028 80711 27996 01025 52306 89451 45392 15990 62587 22192 01834 96764 45487 69921 72151 06556 37246 11976 55126 02503 24080 86091 92541 21495 91903 28325 07230 30832 28809 50882 45131 77016 72784 21058 03111 86602 77274 67020 86870 33940 08927 23650 94783 70076 66450 50354 56048 01366 25480 34484 47173 66736 35534 79167 17620 82887 19305 85409 58931 55031 19501 04065 65075 93354 54439 15109 34016 20080 34385 44192 14061 88152 78309 44165 84915 97694 53675 16900 69169 54651 12606 57272 10410 63102 92895 95840 43818 74544 09183 09816 48164 77753 28527 96923 67524 15282 44680 40204 00929 10207 45503 32033 17382 71583 83023 79782 13669 87536 17796 06462 25113 87744 08917 30051 47260 66933 75822 52940 67106 80581 50637 86311 04600 00641 13115 04858 95817 39754 20643 10677 59020 65599 35727 60723 91381 01230 24736 65634 63136 25415 84206 17042 35480 66961 29152 05198 63904 50343 03077 41909 79394 65830 90094 97287 02969 23925 29180 46591 53040 57650 21704 43501 27983 04353 20121 87617 27509 55985 62190 73954 30373 58409 13165 76932 05628 51852 31912 19507 12857 25763 18039 29757 13965 49147 28713 11941 96563 47468 71877 76624 34769 69406 77989 80292 04556 28041 85575 86386 37706 94418 16201 57300 43242 87751 00575 54246 83763 86240 36166 42389 61056 54242 39828 50508 87106 21638 39321 70896 18531 04991 58603 68363 73387 40867 81001 58220 14199 72005 14031 71690 50427 60447 95839 48323 18467 12353 36088 03341 43137 13406 08248 49297 02549 48517 53802 89648 95706 40418 09624 30580 88107 84979 30665 98473 66515 95779 33901 80852 77558 24328 25729 44853 46242 82544 24028 52407 13921 16158 10225 42520 93791 97103 83553 23023 35560 69754 85241 03980 44102 71492 94528 89811 27538 07340 80639 38712 64832 47027 40751 10475 49447 63174 75906 11455 80086 48173 50025 55809 83439 70156 32358 99791 04913 73044 18335 91973 68460 41269 79599 90964 19466 52589 56380 92709 03511 20500 63739 53678 98468 65046 73853 38774 27027 57287 10803 49650 07243 06333 31413 58378 43556 91149 14327 19314 03206 19015 13947 11635 98129 01201 66523 54361 44427 99794 53869 38250 46784 30289 48865 68485 82278 42350 65469 74228 95176 32663 38146 87022 89318 73312 27448 05151 81629 06059 27982 37845 34445 78228 60170 86457 06109 89781 17834 53873 65627 12802 73736 18861 49227 99523 37035 32084 39697 29054 31759 99986 28954 90905 69556 34306 27325 22921 46103 77344 69322 42576 53037 15913 46750 86080 39564 22086 09760 45781 00901 20218 53298 99568 72267 02199 34238 15333 41659 90333 30001 94793 84730 07536 85763 04826 52802 14848 98314 34642 89759 58161 67495 50065 04871 95073 52722 05135 69022 21264 08690 36310 35856 11830 95510 16715 47754 47436 24917 26457 86557 22662 08535 09743 48536 26908 74587 34421 64306 16646 37145 18177 48003 70341 92999 61796 82176 48590 80480 79569 50339 65278 07096 19858 83758 63465 09879 16851 18862 29185 67221 17188 27338 88057 24615 27914 99869 04252 84462 43907 01232 50016 99394 92895 79268 38403 79224 41849 36027 43129 11634 21299 73789 06882 49593 64382 98855 92348 20949 43473 95081 40843 86160 44335 59777 68405 45323 35108 50923 64663 37971 42286 43283 66716 70140 09521 35597 53187 67570 83466 83728 00424 82162 69660 40294 22962 56233 43814 52287 24720 64628 62084 98329 78818 22448 29536 77346 62401 71695 74258 60964 58669 35949 39860 05579 38459 91615 88317 37090 47606 79091 80526 67898 95207 54383 13895 61465 92443 75595 75203 92050 19546 46784 90012 67346 83274 75805 76575 73660 48228 85348 30700 79921 09276 24643 99902 84416 20042 47935 44898 78772 85500 36224 60842 35217 27155 19090 90283 36393 26185 93970 79003 30124 03180 00098 62633 12416 42984 26846 83870 20425 36962 52257 01516 22813 21724 14603 52950 41704 38433 57412 52286 94443 73204 99817 33859 20997 73566 09632 41118 16871 64679 37943 29355 78830 60963 67894 46615 72897 88775 22575 20803 87835 23036 66486 61161 56981 24084 61931 20345 70827 96506 07722 84984 77049 92572 48556 36095 50626 75380 42537 87694 90212 32855 28155 72179 36468 63678 02970 35436 53255 88888 51624 51370 78533 28003 88722 28891 10372 54560 32950 49965 31923 49174 00798 18310 98446 36428 06390 36045 52539 79914 91883 70091 79219 72707 82801 97667 52643 84108 36227 75462 57948 92215 65918 66027 30461 60855 20528 79095 35968 75488 50137 29007 06407 53713 93369 11807 35567 00167 27120 13785 98282 83974 12332 05944 21113 46472 90245 87883 22973 52548 57670 39126 39081 71280 98742 81824 94192 38163 14266 66132 52760 28446 95487 57681 76241 88248 81998 39525 76179 51341 98975 04845 90087 29101 67029 47943 06587 34932 50004 76564 70576 49852 89178 57780 57595 74527 89947 67622 23800 04634 57099 73752 69958 88826 11539 41715 17860 75970 16123 80128 12751 11330 28637 95419 51944 89569 16665 82518 01125 47700 07225 56978 87081 46513 12242 59380 11077 96078 50162 30053 51364 24389 44865 31435 27736 16688 71829 11373 38253 32543 08393 60438 34619 04192 60446 57698 53831 36857 76114 04311 60616 76839 04774 21070 06747 34030 40158 52567 20114 32716 66844 81946 53127 20104 18499 28022 10777 54714 69344 13044 44201 38443 69840 21618 29107 57691 89161 84064 51080 74708 08920 17152 10372 04149 68936 21863 96992 36605 97441 60992 86741 91595 96652 20149 11416 23012 53430 11012 00534 67574 59393 60680 21000 06119 95778 89811 25876 12461 97263 23355 77481 51103 43036 92087 73367 83977 71784 17666 48460 14832 45588 18398 60281 85014 71243 34037 94593 49964 38928 39282 78890 36238 89905 90633 03377 02327 51842 83411 23940 98829 82728 51542 88868 32861 76439 98367 98667 90177 32287 34914 07574 27837 21411 93742 92154 10971 08541 97724 95715 13425 58692 16079 79348 12711 22856 43356 69066 90589 61340 09652 38027 94470 82468 01833 64879 50742 31445 48068 11879 46798 08215 42482 10568 62203 59242 10130 07050 23759 72058 86751 93624 86314 94892 28186 09606 22495 28962 41371 35404 98558 41469 64316 10519 07912 15125 40743 13005 89650 65956 79167 93907 40045 22622 17122 96679 00293 93722 36163 39991 59247 08254 68644 93412 25939 62856 86014 54584 28812 73109 14769 91296 68921 90541 55789 05688 15429 06374 29723 81522 22029 08217 26223 10096 30919 14322 69785 33200 93850 16888 84302 55335 89771 29664 60489 25615 90032 67796 44591 20491 10716 25057 06384 84643 93008 51824 43429 22098 01480 97804 34566 24952 33214 21712 80845 32677 92767 92153 37576 76341 58459 86413 77973 69650 00765 75072 40007 41921 41053 00852 07140 31160 36953 05796 03447 97101 41714 45995 38645 83613 97412 59530 17249 13706 01649 91470 37033 68230 31923 64004 81337 97717 27442 40430 69318 39270 00075 23897 05498 74222 62966 01777 33255 37585 61592 60274 63305 38449 65781 68087 20162 50705 80533 05286 79397 76848 88410 10202 00449 90727 77206 01533 46303 09547 79198 54737 85624 12165 94796 99464 50815 18559 77564 97721 46613 82504 43062 73588 49771 46976 04765 48564 31750 55750 85853 48218 21941 54374 97373 33410 08329 22013 23528 03194 96455 22069 57937 82321 70821 41540 08377 04379 37974 73613 54946 86063 87207 33305 12173 22337 27754 75581 31059 36670 20495 64708 21703 14458 77427 28152 92498 48647 75865 80421 37780 54755 95098 80579 92400 39808 60105 35084 10078 89117 17891 67847 23950 40251 92420 98063 07828 83540 16419 43659 88894 46560 79082 13800 69075 07004 73871 59442 50419 16065 54686 35560 19601 22584 40590 32248 85910 20691 57157 57766 11672 43677 94954 25929 89988 53829 76984 81517 49487 12112 19868 13895 34941 86273 22989 80834 35737 01407 72580 53469 18563 96884 40698 45701 69783 00312 80551 32723 94179 93896 85217 89418 15259 24740 35323 68167 39291 48567 60150 15300 10425 16063 78542 14616 67669 44580 54719 31149 46539 86915 08873 05413 36760 56929 41084 92370 62062 18468 44343 20319 63983 46299 05631 53323 80302 98195 81920 12500 54813 39561 56748 35930 11634 67622 31405 64690 10015 75901 10921 15068 30950 70413 72123 59024 37923 56268 29050 28132 00696 89210 54618 34839 51384 63190 93705 14423 82844 14104 89503 27830 43568 68977 70699 84493 36099 48338 16064 11499 29666 61971 21452 91416 24597 55461 18523 36454 04700 65962 08658 70723 56615 39366 56889 30889 02210 04498 39958 17803 38168 79573 34700 38251 55444 45029 65471 91447 77481 36218 79259 24998 14212 82142 89647 70439 14291 18785 40775 47833 36726 58189 56702 30920 89348 86943 76626 53907 55069 01690 35684 13432 85170 23031 16328 74235 63040 48679 55238 73347 91101 29839 80451 80813 83019 64938 23346 64715 92754 32446 85695 69233 72750 35001 73176 11376 32407 68694 31958 18512 31991 78251 59860 52377 65950 41354 44699 49869 63317 27605 74508 19146 42434 25296 07136 32614 77409 36526 81002 37476 23886 13939 98066 29399 46517 33174 87938 21598 65626 04002 59013 16418 65297 99779 42063 67302 72090 24026 63183 49037 37387 37797 68502 07086 37238 56265 53504 59976 37099 69399 14239 72022 14273 99188 14762 42048 06674 31264 39188 70996 92128 94524 30003 63872 79200 10278 56874 70317 59104 65798 25010 70832 15673 22979 49620 43640 91357 76830 68037 32474 39786 12449 94349 26192 25772 96229 71362 73692 30998 81330 53381 16866 27199 42214 52886 38354 17726 42281 56954 59183 43004 07318 58628 37492 41327 34812 40952 28874 89001 00700 89381 28565 11475 06355 74195 85711 29939 12496 81954 90020 73954 44400 93252 25872 92365 77591 91785 49134 58772 97513 97939 81185 49367 11848 03584 94795 64620 46243 71383 29630 35871 70482 67172 18873 03516 19927 12066 27548 04576 65494 54933 07356 26301 37099 58187 28505 12666 18207 34097 53944 14076 64057 07755 54668 15744 82018 97284 18693 05029 89629 13749 03743 38591 26228 64074 87871 30133 34546 87874 63492 73184 63925 33093 60579 97715 05323 23960 21092 21731 61744 30709 92196 08354 16601 14933 35527 09596 37456 90902 85937 84985 68122 70805 52584 21814 42669 97396 32386 03479 27759 28414 03373 57111 85788 20061 00417 15347 94887 40120 28460 55327 09888 47027 01989 17039 33850 09899 25552 34048 83265 74197 57051 31875 35634 66311 84432 27789 06768 92413 12355 91301 79364 73737 29542 50226 61728 83980 04922 80103 74562 70219 45925 12125 34840 35247 60840 92800 31760 61730 59876 68629 71589 60749 75360 85649 99442 54753 07341 83093 36318 54967 47619 93213 05512 86205 44160 72609 19998 60486 56435 52839 04006 95825 05861 58033 25994 16021 10181 50252 56286 58448 92914 29569 75098 94924 24449 86662 44585 01940 05820 67455 00903 88521 86740 82641 06666 89933 07089 15811 01270 22516 99139 53790 45894 47750 86235 36361 27174 09576 16681 98903 54974 21910 98062 92646 37178 06206 41984 17563 98847 47267 03890 76819 22772 13715 05502 29833 55665 57428 97971 86797 54715 92906 05511 21870 41045 61356 86794 39204 79043 66194 14316 50138 24117 95937 94729 43356 10155 66563 96867 93485 59034 16832 55981 17634 54910 50564 21443 06803 51227 37486 19755 39866 11212 91909 41198 89884 68816 63457 58724 76886 18505 16476 97217 23403 53514 55014 31600 58714 69601 75046 43309 82424 59302 84455 63631 38049 67203 69282 71607 96846 25488 59807 30161 26657 65665 69982 58485 08971 93302 58032 07091 55561 57532 65917 99474 55424 02170 60581 42361 73843 86877 75642 04971 54227 52899 89783 12338 19357 72888 45503 98747 22100 79521 51625 46012 78938 19137 22958 54745 26298 63531 22649 36145 47826 84388 75013 53792 67032 96393 58944 46510 30141 01316 89710 40250 88729 71400 70553 05317 93256 37121 20086 11567 66317 65784 78513 96431 21672 61221 15930 73303 13383 95363 68574 96700 26126 32412 58389 87554 69982 71868 04230 55003 97401 14574 13891 01593 99552 84016 81179 08084 24409 29462 53167 06110 33565 65111 35166 32027 17625 85334 40751 53266 66745 09063 70421 05810 52274 75462 72082 28429 19298 76659 70283 54129 89570 48174 38984 73818 10849 83546 14244 59911 15047 93054 68126 18411 73302 57395 11577 79748 96575 90572 97469 31341 89809 15363 77942 93347 10105 64230 77652 28503 38368 59318 06519 45804 62907 02501 02240 75006 21397 74335 70803 40569 54881 84642 47087 72857 39799 43831 59514 40598 56240 02921 16981 22210 51202 47155 28345 81961 12538 70384 54231 88676 36132 78308 73695 96297 08602 28361 72802 62384 16140 59877 27234 50766 79877 04201 15885 45453 41908 61952 12352 06448 82582 40517 73998 01373 58929 86887 27151 58754 36627 38557 77149 08285 74542 40490 30654 91214 34182 82417 93994 92331 33895 30704 54861 65431 73869 70715 47326 66416 59542 99962 27432 33253 32906 58416 92845 03989 30661 90488 75431 90369 75672 00643 97253 99109 30272 65648 66789 12063 45232 60542 94477 94204 77257 00445 43189 39530 32807 66916 66409 83761 48459 61492 29504 88072 88599 57934 56162 84579 91804 40753 12015 18025 79408 65764 99213 36622 63272 52131 16461 17216 35565 15009 14392 40163 76609 98446 85017 60223 55358 63998 75894 59214 96869 45719 86180 85104 64151 37524 93836 51620 38514 93479 87933 72595 37770 76214 09082 92530 42728 51226 72713 14325 94939 61016 54943 82515 56207 30697 13551 86479 40341 68120 29422 74080 54255 85978 86636 52792 40935 68867 55866 75036 02697 74792 91588 36620 72344 70516 04305 23735 12546 35552 91910 69493 67480 15078 23479 82897 77098 11640 16134 30666 37900 08882 42212 92809 07736 03559 86828 62311 83602 26990 01640 33748 69104 82270 74723 40019 58552 02178 99424 88334 83788 21871 80169 57936 39243 43323 96653 85717 08302 46243 45461 64183 88748 84153 50205 27134 19664 59672 99231 17082 29574 57932 29832 27899 57155 87802 97642 62273 23594 56365 25485 12239 92841 64087 25112 40508 56497 21584 55766 25926 21657 08531 33626 96026 57620 88137 22763 17812 94433 51791 18522 27664 05292 77153 79190 28106 80327 90168 95110 79698 58199 51704 74055 84183 77670 38406 85173 57879 31706 93768 36949 25565 73477 15891 30654 69227 83005 69508 51264 93289 14273 61229 91083 97313 77855 50673 63551 52348 72113 07076 13031 56253 75580 08487 80639 13609 77005 24259 16679 36778 45405 48218 01503 58577 47234 77093 91392 11955 57519 53324 10931 73220 10024 10522 08909 21090 31267 63996 23097 17110 30221 50111 21236 39549 45330 04433 46009 61710 96354 18419 52936 85108 30408 49344 26518 63315 05367 64353 96617 40969 19803 67903 12843 81177 91429 17201 47962 07397 15618 51266 26673 21105 04953 57470 22746 58923 94491 00745 19470 76995 47791 50136 43011 15973 02790 76444 96475 39888 28112 36951 35906 51026 55995 15145 15392 50795 82039 30420 46286 50696 10475 92110 86082 70695 88447 75493 10112 33406 99178 73439 04385 27496 67222 73976 47944 39665 70413 60529 47690 55368 71162 78169 74621 53819 59533 83187 49082 12383 24002 81686 44132 70136 14998 47318 03007 32300 37681 11802 69971 48860 18441 03323 09407 92906 42453 53701 91827 63274 12829 94391 43985 41060 42889 06790 42698 64595 73499 73595 98204 62309 82086 73316 73850 26624 60869 77870 35683 03188 45910 58369 41866 30534 43620 28260 21460 09995 81998 70104 43084 63851 45706 76100 43775 90348 05055 33522 66885 96514 16563 04580 24890 40904 99524 18367 13393 33404 31598 13345 44169 16009 34266 71864 60996 48582 92793 80399 54820 02435 30061 06284 97463 16317 51837 35732 78908 63086 90075 74809 60877 23975 12006 42783 46746 25766 88421 52274 96119 15618 75480 67581 91637 73164 60178 17839 96386 96919 24500 73579 92855 88993 95803 79858 70875 44484 38570 01389 68909 97046 23376 85680 83069 55036 01750 78432 41898 74088 81831 13078 23468 00878 32678 39596 12721 85308 53874 85299 28936 12452 87616 54756 60036 57072 22132 35156 93257 42195 43140 01200 62185 23070 18326 92673 45233 66473 16708 35572 49321 97906 08690 11810 78664 48095 28793 21736 66419 06339 85376 65249 56426 19457 35561 26036 50983 01636 45029 07246 13798 68858 74189 73012 02082 40446 61799 10787 38519 00448 02406 06744 17804 44223 79236 46836 22945 51075 05481 57921 04014 57016 33782 32235 19958 64030 65477 69231 34827 66101 52788 42509 54075 51127 30416 68363 90470 11304 73085 45807 21374 90810 08850 21637 51665 67874 11656 11273 74502 25771 54898 74412 47177 24091 41517 00502 20510 83974 45296 89476 13462 74005 83079 09511 59949 73307 34852 42909 66261 76527 54497 93649 14337 73485 59333 37443 94494 19935 24470 56538 26746 74337 35225 64711 68676 11308 67801 09081 77413 63406 20468 82328 11265 07785 29353 14294 25351 75465 61487 00371 32940 18458 33680 06725 83518 86742 30767 86777 87112 33970 16786 90492 40518 07670 76725 42255 04860 06207 80215 88280 54561 24051 41490 27094 05637 73117 92948 78971 15826 44009 85506 47025 85700 51138 26205 12763 89139 59710 53906 96619 81653 91196 85183 93240 28138 55783 83826 47939 82557 93751 69687 47044 79230 59234 18616 74066 12357 66255 33139 10212 97225 48385 68078 00869 93564 52527 85678 18094 11002 84625 20494 07334 84815 08235 70141 59751 43777 25302 67721 89452 31724 77827 78046 45310 85590 84861 39099 25694 92363 01874 23733 30620 06344 39026 54971 43180 00721 42912 87263 23979 34281 79000 56529 49666 07214 98364 67668 75537 52471 14999 73093 65527 05526 84135 63965 43016 86865 08555 48022 01629 97302 34853 26722 62559 61933 56114 24386 31737 10372 25735 51691 69585 70979 07980 15346 16903 68593 45259 68960 31540 08912 15989 74880 68493 26367 62608 22078 54991 31286 64888 15733 05842 47796 48788 98865 24391 13089 96332 81183 22829 80701 62213 88994 96230 22137 74823 36517 23002 29328 09159 55827 92184 21291 48553 00366 41001 47160 66826 95103 84014 90089 53044 45502 75900 46579 72896 46133 36592 07556 46995 27116 16882 88692 29384 45305 67980 24162 50246 31276 92706 69257 23145 13203 58097 56829 55796 74246 84405 83137 66898 69217 14958 51683 69790 83911 12207 71191 62537 58617 52229 50360 54592 37059 58257 17305 99615 93673 92619 67991 16772 85445 88523 34590 50627 18976 86483 64698 80149 50487 21027 49718 18583 30469 73327 78391 71919 09347 01397 74088 52329 80248 39949 11298 82753 26971 52806 91644 49296 75233 08654 82135 33878 72542 79312 01532 35799 74234 61844 74989 56237 77958 14916 29650 39170 02067 72001 14037 08353 60735 36547 85543 53295 75066 01857 02323 71500 99932 99892 29991 09958 39267 51589 07227 96241 58328 78224 14523 85316 07501 45453 65632 34495 37453 04205 53712 33988 16721 59668 85424 05061 80910 85350 50406 40021 78326 48384 94470 37073 25898 98857 68018 75514 77172 46147 30937 42361 10228 84608 60426 16280 45028 97803 13712 77236 87330 00934 68744 63334 77276 35720 95458 20769 95958 42761 40598 87978 35763 60646 77990 55431 20995 00518 77339 90570 10968 10227 69082 60911 79441 27650 49718 00737 21631 82456 66603 40470 68350 92504 54271 07389 76541 06720 46564 02135 87931 58599 02789 70183 98903 43888 22177 69630 23188 07989 62744 11429 49664 15538 59530 81825 71671 39601 07605 45320 64807 15815 18206 50526 38163 02573 27719 67116 48028 81435 53672 85522 86145 15968 64557 82259 81063 60076 67377 80019 23985 92016 88623 13125 34655 60436 88706 44434 97521 43388 15297 77453 04434 12038 22347 26071 62895 46147 20496 66674 41045 72767 08086 58786 70405 66236 95946 32633 67248 34514 86756 44608 59815 98777 87771 44945 84797 95876 38588 67252 53180 86190 58405 12358 66568 25311 36062 86129 48771 80514 46546 87553 58935 53037 15750 27837 77859 12557 85764 54867 86366 29365 03196 77797 51276 59721 27301 95950 37999 09371 09428 48259 02141 66585 67377 48391 30831 25078 01952 58732 30917 25615 38777 63250 12907 49388 69466 40710 04990 09857 75878 08768 78490 54423 38591 94853 72089 66619 10769 51954 42633 83913 73508 47549 45471 64746 50436 25985 00859 73645 48413 77710 53801 50238 58222 46562 32253 36857 59362 99972 39880 00665 24276 54592 81033 01007 93741 11537 48738 49869 35017 88648 29760 72154 24929 84815 53217 49942 58924 09531 86286 60350 61562 00729 25033 40977 65272 09762 82774 80791 16823 93598 93439 88224 55228 42632 41573 20618 76693 23011 03701 92405 26434 12668 89218 61695 62919 84185 96518 97676 15240 96929 07226 98647 20161 41662 14421 85507 47773 42605 66109 77724 68948 72867 44785 88571 54843 13087 71167 69239 99216 59636 72870 38959 22604 34015 72123 93729 61405 80875 76525 17140 73293 04820 76189 23788 09577 70151 51352 17440 17172 22662 19189 92657 75950 67016 78973 71427 92709 15562 76002 19383 51984 45867 59693 31590 72560 98271 34178 19736 55640 64717 59990 06705 82093 86914 04848 97123 42764 52069 49712 08409 76195 90391 77155 83467 14847 00690 18516 73435 50321 63024 72265 86977 82953 03301 64767 86662 16372 75779 50274 49233 34610 60031 82325 94936 33170 49697 18751 59193 56626 58948 81621 84196 32318 79765 34987 30276 92217 00578 78422 47233 87486 11478 98787 44180 77202 79120 34123 57847 49997 93089 10642 99008 15505 84403 72841 18194 77031 71971 15607 74658 60744 32313 30135 80233 78391 09978 22459 07059 70231 34182 49831 15359 78302 36568 23489 43602 70789 80132 85270 08681 38493 87263 58071 53571 89495 55287 43026 85302 83704 82292 72548 00737 16867 74892 73826 01093 61849 24012 48954 48763 17819 28942 57773 78586 39801 54776 73562 33356 29831 87188 30003 30039 64932 79151 51618 80685 80462 78580 32251 44657 09223 57076 87143 78164 04503 18919 35245 42635 25319 04910 38040 28468 04711 89618 79297 17565 06337 80201 95519 47125 91675 40827 73107 37273 13700 40598 41774 60299 19781 98714 46339 59617 11234 09351 70266 46737 87577 12159 20022 42340 58069 34605 50573 62785 29623 50949 98158 12259 25560 28678 17548 35386 65307 97147 31642 66512 08701 54519 21187 09891 71852 70079 07007 06478 59745 10830 31065 82752 41255 47467 35929 82251 49090 11911 02933 17598 79289 02821 82934 19863 19745 90148 19030 02143 46390 72062 43605 55929 00641 79584 54139 38734 86798 00651 52105 92583 66969 64832 12469 02352 29138 82944 02514 31093 88820 87285 18625 44285 83099 74971 15669 63718 53039 75312 50994 29841 83791 74212 88681 00841 66453 67949 18356 34609 61360 68907 98454 27906 65516 19061 42123 93119 42860 28163 42894 91113 47083 10242 50993 60747 55715 07698 10664 92314 38317 55945 83858 69472 54095 73380 29164 36246 48867 46638 80214 87758 23232 76586 71142 62344 37478 52030 55983 82927 02316 84224 46730 92853 58102 79618 58454 52557 88512 96666 57430 03412 75806 82851 35570 26087 75898 75528 03697 29984 35901 23010 17122 44181 94122 58214 63474 76700 99266 41827 12930 64517 97560 89552 12361 97121 36932 33870 97127 34148 45799 89715 64376 86096 10942 87276 31228 51118 20488 86686 05359 41466 38538 92184 96767 19785 25610 71093 61019 48914 83537 46123 65391 58038 17329 99131 59518 95476 96962 78113 97816 64920 28751 06487 10601 51169 74477 46135 79256 70016 29196 73700 11095 11464 70498 98233 20843 69499 02463 70168 74962 18992 49101 25421 02397 86808 03482 29058 00209 04620 74792 35576 05778 80140 03160 52179 88125 74314 49227 16884 50252 30433 52818 87538 38652 35971 15852 62391 31842 19919 01096 69248 71624 56062 53156 02247 45815 63336 97672 02401 13875 09019 55700 80792 57389 26403 45418 35309 88422 99237 64187 59149 88829 37592 85924 30308 35481 77669 31391 09239 95388 29866 10886 01408 93568 76754 44271 43467 96138 51228 17340 94276 40699 55637 79742 41811 01234 28510 45665 23043 18621 73581 31940 06452 29784 89035 03467 88799 46003 02607 68177 03670 09014 73306 07420 91257 40526 66230 70520 92816 32758 51826 70695 41640 89572 75165 40512 77390 94902 02949 99979 14573 54872 69810 69038 64676 44557 96487 00705 42915 67875 99698 63960 37922 77353 41504 72666 84818 06741 62218 26361 34777 89594 43622 92727 58220 67600 71180 32795 86283 81650 37189 34160 66310 93246 93535 56671 83864 66066 78566 26677 01068 72070 72699 53322 30803 75654 38009 85158 50547 43219 08726 25371 82941 45744 53117 33591 48317 71804 85496 13924 05993 78597 35103 99542 95615 38549 55590 67183 49275 63832 83077 73959 18484 98590 25688 76481 18109 12301 02125 49251 66299 30469 65246 02576 44176 28233 30634 05156 17104 23396 55125 72128 20930 45860 27981 06202 90676 24218 92736 25738 11474 58677 48748 94790 71281 76771 75853 17273 83136 62527 96292 77916 14310 12738 22155 14559 26865 59636 01377 98710 70082 58537 99662 14296 26773 26388 96916 68403 09775 70240 17456 34332 26237 56440 31062 19390 63104 96613 41265 40898 55457 69785 20924 54095 53370 21681 54719 45005 57417 89490 62810 35030 28955 41818 36281 22334 69163 67744 31585 48090 66164 79916 27317 27374 91693 71439 47353 47726 08562 46201 49775 91477 20225 18671 70929 70577 56812 23768 54234 16189 61610 07744 97799 46097 70131 50716 53941 56969 89273 18689 28693 71787 87202 23013 25061 47870 94371 13840 35419 89779 21289 67818 13256 57853 69518 38003 79095 28193 57031 38270 38228 85612 19798 59063 68874 99300 02395 86103 31817 31038 61480 50982 68894 11485 50847 21565 21598 39475 99330 58935 36528 63068 53873 96773 16232 31999 50862 50904 50365 56961 16419 75965 18697 69299 57003 74892 27835 05014 61832 74417 90452 55634 14859 45849 16286 77949 75910 37775 60265 08328 57987 94713 37635 22311 03245 49739 42855 24832 01262 78876 58285 17405 73101 36730 40657 77922 75974 56775 96287 80465 74740 73735 73122 26793 55941 39797 77411 58127 73747 11636 32445 44264 29622 73988 93646 60486 68755 50103 09590 93689 81348 21489 28700 64849 68559 71442 94213 26052 10403 31970 90671 80072 46417 53463 73644 92703 51165 83316 36951 20997 84753 69413 58436 88787 41424 50928 74199 64831 41718 72766 19383 30833 07994 94769 86123 73866 42154 46829 69766 92430 92768 49093 98300 91071 21462 57277 87600 94693 97770 23949 43003 94143 59024 19161 30273 10951 92699 10270 83956 52282 62327 84559 47148 07596 03467 33778 32587 32001 04677 73216 45738 41467 48517 20591 87451 49493 16870 39936 06288 69492 56007 69896 15908 73013 82235 24316 53405 43411 75707 78457 34204 57180 42559 93820 52188 16875 89235 96238 41144 32333 47646 07449 58888 11054 71417 25034 94279 04635 17623 10018 84171 82100 43627 60338 36073 39667 30846 34145 50203 97052 83959 95408 93610 54803 11861 44973 28970 05695 56907 44967 37994 87516 50372 17016 05485 09631 88228 87013 11795 56839 58902 21001 10251 12207 13468 45546 50446 37651 19560 01084 14204 47525 60504 67177 56539 67020 95128 74942 83235 92915 39169 64183 04248 92019 77957 96101 86287 02676 89931 59148 13536 56531 67084 07519 23332 98941 14459 62523 36226 31107 98741 23444 91797 45710 67218 73849 73727 79683 81877 04644 36091 96972 81445 35310 16772 16278 67384 72433 85118 64410 45851 13816 97340 79554 55447 89182 58509 70977 82381 57672 49977 47939 57334 61738 45421 11286 80528 32680 49107 31994 82008 65380 90832 71230 17001 06704 54644 53486 62020 78458 95227 38574 93867 70946 40879 23006 80268 82068 05417 78736 52054 05745 12381 38235 32062 78471 69302 02323 33523 04029 90131 61429 86412 50012 50231 60335 53232 91322 68450 48243 41195 34255 70930 19334 28221 09682 44797 75848 03122 83396 19729 84663 64031 91233 21139 32409 82119 29995 41741 68749 51677 17365 14902 56690 06795 99613 21630 15211 33113 87762 40535 80920 03687 26916 75322 98817 67437 55445 50478 37760 75767 93574 74853 73911 50628 45830 57651 97424 20769 41689 05235 28609 65908 74983 98132 09482 83271 33390 35504 20779 12117 68612 41938 68904 90913 24200 37379 38937 17540 25067 69068 30848 54493 33243 76577 45016 77451 49937 41984 32504 37782 67439 53844 54758 32693 42363 23601 29496 70132 11723 51192 04515 32822 53662 37978 94057 34342 72741 04502 50696 35213 68935 82572 54726 59825 44409 73316 04930 27875 54279 39008 16398 65627 41409 69272 90689 84074 83343 45219 30889 92393 60738 08499 88828 15968 87899 44158 79801 43074 78012 03151 28462 50346 66056 63366 42583 57480 67162 73855 33011 31971 56492 86051 47044 18349 26173 90421 70562 14100 69560 02646 47199 91493 44291 35157 79207 64052 27036 31069 15828 50590 46991 30459 52294 26964 90587 60774 75399 03307 94239 90969 35011 83313 34967 33465 87995 38073 74342 83896 15608 54982 44603 30282 39749 37022 91631 91526 57919 30087 57657 30277 64010 23653 80810 49483 65272 06283 52601 29694 19533 54063 14921 56209 91745 05049 17185 11260 53037 96129 58352 56978 81684 51572 84126 02364 01801 38535 49991 09750 10362 66803 57678 05035 91358 14773 25021 49394 55864 12059 90205 87715 61895 20627 10523 09109 36841 50110 80688 29799 26082 46258 03871 58366 39861 28624 29515 56334 47907 17763 49386 26553 55976 84020 45404 84866 84116 04998 08617 14403 28072 70961 61007 22309 15000 37863 93578 06157 51288 24868 88002 11225 57454 50488 68602 05236 65464 35935 93802 57950 52267 62015 18147 72301 69772 98618 60085 16024 76664 72499 40378 61983 54590 69033 18850 47735 34866 00700 64088 24421 26612 28253 10751 77048 34936 34604 53830 32794 34469 64879 23247 18087 06691 64786 33635 67855 15431 63279 63890 98600 24666 87840 23118 68139 59818 82886 90178 51463 29070 22979 43700 16252 81947 76730 13175 91349 52714 08546 94212 86054 68529 32237 39533 53659 94839 98893 13149 32823 98923 69055 05705 47623 41605 76102 36632 99579 52835 80379 75599 82203 74082 42902 33621 47672 08650 50366 94146 99018 45881 46125 60929 21250 42110 84363 35022 84730 32704 18534 55405 59674 07428 69516 43603 67451 90444 15409 20594 99929 81514 72777 56276 96755 34302 97517 46741 25473 10987 98604 59971 69273 49782 62054 75422 81047 01906 93625 74001 96303 06897 86798 54057 70293 51170 00469 68621 64545 34520 91270 77606 57080 53318 09331 58763 79063 54053 52900 77642 14299 38662 33322 58044 45316 99313 37025 33394 22264 38400 39669 40540 36805 66792 72442 17908 93396 86822 34824 81575 49182 13053 96681 36197 92437 09224 52010 78047 71265 40404 26920 79765 02089 00639 14014 10032 34820 35241 76114 24601 29242 70221 90367 91024 00465 64533 90045 49006 88517 35972 61257 32203 37534 04574 14314 05053 07784 86039 16521 30322 16854 96329 07418 23400 75429 73528 30402 22075 11259 57451 87120 85394 79132 15681 35123 21395 72066 31593 72037 28145 96029 39107 90150 42057 18449 80069 05070 42881 46047 33970 37636 65388 29688 57388 04766 70000 87620 44978 43359 08750 78319 36454 09930 45639 78257 99118 22622 08250 20103 24432 49462 15621 52480 01332 14298 78936 22701 88236 85141 81506 05281 48967 31567 11506 54526 71894 76454 61100 31060 03952 45377 50181 59036 13868 57288 47519 59586 63932 62400 98566 37874 86146 53661 68805 76614 51547 26009 71367 03484 97994 22066 76953 88754 98562 34639 87148 64960 61753 69373 16068 99179 57272 73774 84396 45761 98618 63230 02560 86871 26587 10913 04184 19139 33339 16265 74510 23206 83767 87120 20136 23096 55593 34115 52204 57285 79880 68663 76153 71070 86827 64907 07655 73766 67367 18661 83650 44812 56389 93769 26129 16636 48232 26298 65615 73496 84226 40686 92309 87847 08664 28402 56680 10862 39123 26849 47795 81570 83052 72543 91010 79548 08939 08810 03964 67028 71048 78462 18877 99535 18754 55556 07534 63985 31419 79906 84063 44078 65032 85714 31687 57266 29701 06888 71289 01382 33412 71859 91007 39454 12305 71537 14447 64603 87493 77457 47834 02720 98947 96531 06882 07271 68740 33662 00436 21110 31926 19877 04268 88510 34551 82207 07247 82648 02652 66645 56972 86823 62551 58060 91288 01113 78187 52050 74676 52069 09136 64438 39140 06836 52797 20324 55732 19861 46519 45932 61707 76064 78110 65638 59584 38709 66391 26962 85595 04944 14281 21260 41516 81402 06960 53575 67549 46961 95495 49873 49262 42431 79506 21718 42511 62699 99806 72624 59850 39286 65122 49974 57408 08370 26145 23510 39629 31862 29391 21480 68232 06655 14619 69373 07397 77731 29382 16940 99194 44985 52132 48292 65515 80705 93795 52615 72114 25230 48655 89723 40173 38034 26848 21243 97146 12994 64315 18578 25169 46891 87111 08482 04376 63643 64445 34963 11178 85780 29193 84234 84745 93425 03025 43606 76598 20135 93544 64472 95161 41873 30582 67334 16519 25992 14663 12574 25601 37666 95135 80611 82071 61901 39296 86798 06341 70540 38096 73572 65168 79906 33708 76664 66096 24899 79889 86864 25966 88398 39855 11551 71958 91747 62146 07689 48720 25090 73427 46942 42700 07533 43500 71297 24755 84840 76688 89097 14613 52412 27568 00363 40815 69007 63608 22893 06059 23274 24822 03651 45219 60316 43137 28743 63771 03378 48158 48363 94677 76729 43296 02539 50328 93546 27952 42869 02836 57100 78084 66925 24779 89851 00224 26291 50469 96660 06030 58519 64648 94751 36122 49560 69147 13075 21404 06668 94915 19044 73577 88070 36249 67065 61357 81926 66069 33437 84576 47278 88193 66755 26427 52971 59151 26564 99933 17936 93756 31680 48152 37355 65059 26745 88286 29943 25033 25250 02638 90024 39619 50429 01375 94981 26680 09454 81629 48988 10491 17995 18654 02061 67803 57905 60351 44752 90849 16933 10822 05712 92550 02160 61728 05076 50984 79275 97214 99097 77813 32349 42627 88442 78102 21088 42283 54321 65235 52792 24393 41430 67576 66650 48836 08276 16519 76684 33505 69970 38073 63654 64931 48275 66303 80735 83625 86960 36209 49860 83131 57395 68746 34933 50850 79617 98968 18714 28095 43025 87286 02372 00296 29988 53130 37538 28537 72064 78620 86119 42880 22560 25338 61724 23105 03545 98921 97129 21125 71356 89327 39129 05008 24828 50195 22036 41309 19217 06656 25046 90441 96801 66716 26588 97433 48344 34417 94754 45511 59113 90676 60579 69764 94039 70193 01232 34297 37508 62772 51101 54987 36613 87036 11108 80225 52928 16672 76507 30185 17865 18868 84201 30392 75671 94670 53899 28176 71110 23539 49675 32629 75868 74763 62489 08386 53240 33555 43272 18043 45193 72533 76233 61217 74495 11188 56482 57829 71563 38897 15263 43074 93846 37276 12538 20061 29034 95666 89691 79911 82564 19972 48874 80468 96747 60987 83680 35309 35008 25927 21127 64482 13311 16924 49317 65898 53751 18485 81441 94545 91966 27741 03628 25305 57365 78064 62155 06953 33802 15520 23438 14951 18411 12961 14626 51926 33818 44847 79841 81054 11082 48162 95952 25555 35281 52358 61666 53637 98917 59310 65629 85051 46249 49425 01728 16752 21558 82450 08435 95450 39685 38390 90510 94836 71392 89107 10928 55795 88396 55791 55006 88547 98131 18213 89343 22970 99605 06677 87407 98581 57407 84723 61681 23649 76010 87493 14884 41532 82869 51144 60234 35637 44833 45515 03892 22825 71024 81694 42463 51580 92272 46412 21099 02876 93135 80052 53051 70633 80413 88434 38866 89560 24686 19933 37214 91891 45232 56350 82800 46532 25706 79126 81561 75179 87987 14335 54844 80781 40034 61743 51920 64221 17942 24888 41986 53378 66846 75322 60988 12997 69746 84436 99512 14635 38046 93020 12546 67577 33006 21388 44531 17409 02270 14931 26868 54985 80548 56297 76658 93463 23115 95496 97783 54109 45205 67538 85572 76346 84241 71257 81716 05646 11351 63074 57979 93953 61516 06606 25877 62003 63568 79732 92668 67099 12440 14217 56183 06693 64997 41497 02473 41155 44795 04351 36238 08318 90150 00626 10614 64003 99544 71415 79340 58054 05924 79447 83040 17202 94382 77829 55611 67203 36828 24905 14427 49545 47528 36340 67074 99179 77247 49226 51341 30498 93747 83603 13847 78898 88988 24635 10155 93658 65122 89731 88671 38952 47789 61876 09231 27318 68539 83690 39507 26623 71390 07583 24657 46277 78120 73911 06425 17066 43456 62782 04196 70272 40038 47723 63273 93558 00113 06771 55999 82642 18813 01820 19070 77950 56352 06350 41800 97730 88621 09514 25483 54884 35849 43269 88143 18333 71040 88333 56473 81666 24238 62990 15879 97368 26407 43001 31028 04523 27250 37027 27905 42681 09051 96556 00727 61783 10501 89485 85183 24946 82374 88283 09307 26814 06479 15154 48863 49003 09750 59344 68449 38463 00174 87883 56826 47738 58213 94861 23111 90236 10487 49524 61149 30791 67346 73338 12788 81014 88978 52491 76362 51156 25599 92652 69330 03942 71066 21297 95769 68114 65099 56535 03675 12130 57670 74605 28861 21432 51316 03889 18301 13252 49238 23627 17276 65341 91205 17996 47828 14690 10111 26219 18660 39796 72953 39865 83983 42102 12780 78293 53225 55239 95710 32308 11726 40211 43000 85729 91532 51339 36768 06009 84290 72623 58160 25371 78934 73525 25327 57776 31848 57566 40946 07828 02645 84020 93387 95637 61059 69938 05167 40710 64763 34298 50487 91520 89033 65366 85661 94528 94463 41214 84249 45202 24536 59716 26325 93378 00891 07531 94757 01747 44954 07188 55570 24226 86012 04347 92943 03506 77068 53459 88151 89979 86189 17025 55744 01063 79361 79085 24919 70971 75256 39533 14973 04998 30815 36951 07025 59014 26866 41398 82948 68533 60856 71357 94407 30352 17609 57403 00397 53655 81557 09979 50932 42658 27264 86557 85863 12729 75962 94422 42217 32565 66723 09385 76381 85547 55980 31584 91872 71043 10328 72688 99962 20310 37691 82665 19523 99414 65338 20328 47839 29059 46194 47525 91219 46110 09016 65710 76919 72762 77159 52938 92248 94830 95754 17450 55802 96222 66448 25261 61557 00569 93871 90980 22497 93311 47532 87812 27343 76144 88649 29850 86000 49994 37638 16092 12931 25378 47647 41949 95078 34691 36829 04352 49993 33257 44953 37794 80632 11503 62860 99991 10514 38058 03665 62096 91941 31088 86625 09314 57769 02396 67909 04646 71977 94570 07174 14001 74841 80450 96286 77568 09358 21016 47235 89329 81643 23683 67347 79984 11650 38024 79091 40520 02333 90400 87090 66881 56421 65247 40746 72972 87194 56902 97280 58890 59838 87533 08654 08040 48893 02706 88220 39237 06364 60283 40793 76258 75412 29250 08554 53290 20389 76279 72389 02285 34038 80257 55221 41774 92644 97274 92251 62835 34816 58713 66675 59743 57080 72417 40137 54907 73624 85376 61098 74718 00867 88871 37843 63722 04609 85262 14992 86689 80979 49060 87204 11730 99768 19999 49826 14979 28705 31711 37765 41193 08775 65738 35372 66776 17423 35724 46279 52786 30282 94284 06063 20606 95145 40594 50915 27493 88094 08652 31022 66424 60307 33629 44475 35456 95746 99057 17629 60600 36935 28832 41712 97599 77575 12903 22922 72034 59075 65463 74942 65148 46940 99574 65888 20626 46849 70828 76845 05706 47478 33117 61459 32815 16111 83114 93463 69167 73433 86111 10133 24217 02902 08353 64648 71474 97370 29444 86368 09873 44719 40725 23258 82923 98281 46930 60688 81290 79294 93930 30414 87655 76249 42257 97928 82053 27516 89253 71414 05528 29512 82135 05998 93825 66032 44709 01541 57879 73197 40527 39358 84276 61401 61127 76410 34409 15167 35176 27513 63079 48394 83560 94198 85466 57661 95540 94616 22607 45813 09141 34264 81673 85234 95428 14560 24478 87657 37089 74823 93713 08289 44332 79947 08517 00447 83216 32398 12479 52987 66113 87158 69193 17165 83452 88916 08471 23880 55989 18899 45367 86091 03214 22087 21082 88531 80009 70885 88102 77156 83838 09055 66482 19752 29394 71812 42103 47467 10752 09254 32712 82759 10201 42588 90601 01574 98234 75074 84435 90578 46101 29876 29913 83237 58721 15462 08154 92907 50665 97275 34528 82971 50180 71989 64380 64422 04940 38498 71454 18720 37263 52725 44349 89948 12437 77027 64392 84667 75449 91404 28983 79360 10556 48407 33822 10816 59418 85242 49493 60032 69992 87638 41176 88982 48742 04767 77383 85197 86902 96659 68592 08338 56519 85914 63693 24258 16465 74611 90260 60506 09380 81628 61458 85554 96123 58598 51768 30741 36449 94685 75384 58771 75481 58963 97873 49290 24556 16948 00958 12138 13952 85784 62371 92878 07788 39887 46534 08913 18382 21528 71170 77394 45869 84481 97183 38135 00590 29066 46809 63396 99719 67867 47739 52339 33323 95960 89931 64718 39123 13241 53640 96559 08835 59942 68685 28119 31519 49304 55590 87921 11312 01392 70538 67482 64519 64004 02906 71794 79164 28617 48551 96303 88052 91723 36396 48547 23948 03301 17103 53861 86435 72514 16690 85568 56008 67500 42908 62367 59155 19270 20879 09260 88456 98931 49436 78404 43047 01552 38871 96365 62582 19629 42816 84039 40881 16492 23656 86660 57811 64037 73415 36753 15293 59380 15632 26488 65233 84436 28315 96735 80828 96716 97549 68777 83871 10750 46914 87322 40288 36586 92321 23587 14022 17390 58811 71475 90405 78080 51520 53139 08231 34762 39812 45000 57449 84004 34246 15919 72741 76933 72270 57279 49690 00821 41021 45271 37786 63776 15762 01856 36675 31656 99098 21426 93051 31653 68692 53040 00106 34863 58568 40356 50272 24180 79316 98661 35680 34917 30955 35384 28991 84927 44348 25308 66852 91152 36781 45537 72879 51266 85479 03996 65982 34906 36478 14644 58245 50399 24507 20355 95571 18540 30542 77326 98294 32901 31302 94715 91972 63567 01800 99884 63645 54592 29095 45262 24308 00017 01116 87911 48915 04779 48316 24700 36117 85150 67327 32087 90144 99329 72648 66382 45339 27557 46199 95255 83356 67120 66396 87152 53736 09893 62352 81963 31646 87637 74253 77745 40234 74482 21594 83635 04487 27148 16799 35030 27976 40095 37270 93757 55139 71774 01999 43990 42174 76082 73363 25118 77187 80518 91409 80375 01656 33302 74887 92674 48505 21257 62876 52392 48347 57491 78255 90746 39423 52408 36944 80083 48789 77157 71661 24289 66053 21077 40370 93998 88914 20354 04528 05091 61191 04049 46949 73410 60681 66330 57877 28302 85001 53657 27205 92091 33075 49475 89981 42574 99785 02678 36653 72497 26163 92069 88764 60121 59196 06367 36980 97030 80449 69797 41603 36356 62574 67552 64694 87821 58211 36660 10602 62865 79407 77199 06139 40322 51897 57962 91469 71935 68082 13306 12504 83263 18163 87292 59391 16454 50757 02219 37960 78678 17473 94737 82890 38144 75898 32252 20743 15668 85943 06528 84042 89805 24321 33901 42136 65835 52408 79979 06346 81224 85260 68743 55266 64006 03799 27698 43587 09430 73644 00903 37855 39780 75643 80435 19251 15809 38043 42030 83298 27965 14251 43490 01782 10293 11596 67809 76987 23181 10106 85459 14047 39369 99176 86343 74308 42619 63003 77118 23962 32118 27491 85973 75868 25727 29214 13505 51329 54994 24294 17307 86678 22120 66251 74579 91997 92371 01230 90410 62010 27483 02682 39168 53975 17813 40594 10175 47479 64417 33939 27217 46728 60021 78513 48200 33183 70545 03170 72129 91524 09676 96855 92021 98444 83781 76153 15766 42064 55031 75703 25392 49368 77698 76883 76933 75042 83806 52439 20139 70710 67605 69101 84138 77178 99385 77603 72995 56866 63294 26297 48500 15070 49215 84772 77638 88776 86361 99023 90238 02359 90822 27144 10329 44637 96458 84391 63105 69374 11517 33023 80746 95972 38243 65145 10477 87617 02513 31684 72383 25110 76860 71260 51147 33289 86602 81737 28068 69484 44313 26042 77538 50658 97293 06238 63727 01669 69709 51696 59764 75464 39284 42886 54753 71433 67463 89763 12581 92741 64958 09366 96313 88171 22400 00510 56158 66156 48652 56336 69481 24736 91073 99730 94110 53708 90674 77528 59094 62078 09578 13446 92455 88896 88315 24858 56738 74662 33890 92255 17369 86219 96684 12264 98277 04408 94508 15346 77115 31336 61917 93636 44325 75765 60390 04078 72093 12420 12641 56978 45741 90416 96839 55242 29834 47845 49186 35866 46467 97481 73039 91293 75295 02076 81269 78207 00043 39782 43492 07628 52207 30092 78156 27462 51893 31020 05297 99974 73103 49429 23397 49537 43032 21067 86599 17366 70072 27912 89477 13494 59667 90828 52035 00427 10382 39159 29775 20556 29606 26872 28411 19174 32925 40942 64692 94466 26422 02480 99019 88380 30187 06010 85818 17274 41664 76905 94519 24434 04814 72714 55635 62518 15968 60596 05220 50235 43120 84421 78649 59232 43726 37882 68495 87397 58260 41854 53229 10321 49365 01874 12105 30952 65485 23806 92216 39065 73824 07759 45367 73175 23387 06652 84154 41721 12596 64874 24502 95270 12752 71003 71520 81241 44908 12419 35329 64848 62653 31145 90842 05032 28687 89470 73341 51209 89738 96795 97760 02324 70972 53568 80506 72097 52061 06552 85038 69282 31290 83328 30550 23894 36739 31211 33136 63169 61910 77100 73671 18600 11644 82196 75673 50269 99299 63390 49180 53705 18138 16493 62248 03273 10897 91316 37502 21738 29875 19842 87327 93906 29869 14357 18870 96104 10782 81198 22286 72057 93733 98640 30198 04049 34796 28134 49375 70485 72456 60682 56312 77607 19876 10558 11987 00318 46076 88467 57085 36505 28948 70592 84017 08820 10092 51442 52744 68847 23598 46689 55183 97684 17464 08694 42829 95633 74068 66643 58437 81227 64950 22002 61569 36437 81355 38716 67862 19829 66236 50399 37913 61365 40400 79783 60691 37716 52641 15196 37831 05365 16725 81772 23256 94282 77548 76940 12180 27736 61188 46868 68974 46433 25499 81631 65475 29819 35997 56311 94272 77789 82515 61579 27257 51465 43757 62678 84156 94180 09727 39378 94092 05140 34502 15987 29367 39040 70851 42960 27344 82455 82992 43769 62746 46340 40368 56713 06138 06234 07749 43797 87948 65464 93614 66687 99383 68484 97139 09802 15940 74781 50745 49371 65896 80592 61145 82339 27603 16194 69151 12462 89485 78255 46541 64853 08603 48462 27968 25335 89447 70395 18306 92954 54478 76515 31897 79148 21950 86171 14810 25349 69429 02090 36880 17485 04148 51633 74644 59217 70229 42781 43329 73387 64747 49806 34744 81564 32852 91051 12292 13561 04474 36882 54215 06155 70623 40007 49216 84260 38170 13595 08676 96670 47291 53450 97380 29990 28542 87920 40744 92821 99714 07292 34203 99680 99560 09929 73119 36899 92343 38240 60968 28319 96105 52564 95827 38858 97085 17599 67640 91338 81678 91731 15713 83039 47206 67048 67626 43203 39144 18516 49777 85723 88591 20322 41695 94115 29206 85799 26343 75304 13652 23626 82681 52983 40632 79511 68691 01662 32108 24278 80335 46873 76087 05507 97503 82709 23632 48642 77721 89848 56510 37619 78753 84091 22970 68716 95457 88745 42818 55741 51240 05874 49151 76104 86841 25863 87894 45347 31044 13707 88384 59754 49251 28142 06101 27708 39776 50116 28413 58778 19468 85604 66413 61515 15103 13469 34671 23369 87454 13968 61977 10752 56870 94500 22309 54829 98330 56401 94273 65435 08431 42083 56828 71017 49317 82808 93502 92475 69032 35174 17912 23336 77829 17458 87142 02043 43500 98474 19839 65667 22637 28367 00829 87420 48895 65616 00115 90637 11892 73408 31852 44965 83815 45630 93445 89325 26237 84637 35130 32353 11253 33175 89247 91002 39769 80990 94332 74379 80690 56569 23262 41466 12815 15686 08486 81966 20166 60243 65226 32876 39940 52889 51977 84818 75736 68967 48021 05838 48454 25306 12536 34975 37161 36090 80702 64711 25872 59825 07697 77715 30664 97245 64825 58781 09205 48218 94156 99995 37614 07970 13067 01036 53891 84967 97186 50948 30902 29286 16852 63916 45575 23874 36995 65590 07063 81210 29503 05213 37678 87242 19372 62169 53197 12170 80289 17656 60344 86044 63055 12129 13156 05067 02899 57068 86408 22736 09657 53188 34958 57623 70116 27825 80345 52449 15521 36771 37544 61676 93817 42004 53264 70374 39604 02290 68600 61097 72664 15065 11954 19698 05556 57673 41553 59195 56740 20500 79648 00420 00818 66455 66551 58941 71859 18688 22973 64386 30913 13801 69141 63286 07262 13811 67858 14632 57776 33374 28853 88131 63710 90967 24767 79185 51208 20670 78281 78131 87436 95692 27835 41574 33419 35012 29816 90096 93003 91325 44905 81865 34317 26091 43428 39287 25887 79655 91488 99148 28374 07880 02036 32562 38309 97279 41177 26250 58314 94425 37851 79959 28891 17169 88038 15984 38393 68054 44680 03565 78174 80684 41218 68228 40550 38889 62687 57166 67742 62634 64208 11507 09394 36389 44174 84548 02108 11227 57743 50509 41503 99966 21080 96835 44238 49319 66929 19465 59642 20066 45117 71539 11750 39460 41733 03923 43464 77236 82940 85886 23173 62092 81124 71768 47270 91439 11443 53449 99361 87653 76427 91282 96746 15044 84465 63671 71227 19571 13433 21305 24289 58066 70405 47681 58611 39579 47512 97896 19992 02312 16510 95720 09600 16013 33977 33596 31427 71274 11929 55920 37987 88062 90835 67776 67874 35783 14973 18656 05449 58636 84547 80945 25793 45020 23744 51761 45898 32714 18204 39413 30738 04395 60093 50357 05970 75668 88450 74230 87688 15315 18559 61678 90542 51625 19651 38037 13226 42203 49273 79293 96810 96953 97037 76770 46739 23452 66964 86512 96245 51825 75324 23365 79457 24525 51035 15189 55669 28752 04456 45943 23006 87550 63275 90919 84353 40698 44426 81951 36171 85786 04297 00162 04830 19013 05754 02872 00854 83752 94236 72159 49685 29154 20235 20456 20059 03622 85059 81288 37636 74186 72683 63214 77934 44880 42454 66785 47735 03384 20203 02035 20470 84078 65273 63295 12163 59846 33652 31306 58614 20812 17704 31971 96369 96658 49057 69862 48825 23204 09722 95037 74521 30098 77572 13114 58321 75471 90205 94721 32628 01200 83485 32356 92032 99870 85911 56287 96668 10633 44942 80879 50644 15505 46146 38104 73555 24563 46305 64247 63378 39329 11587 93843 21778 58019 58104 83828 58414 69318 91473 36224 54091 05079 27121 51949 88165 65785 82514 96179 68471 22546 34839 18020 91044 96807 47605 79680 21374 61903 13608 31635 45770 78420 19294 60027 73353 88621 14326 77958 88367 61464 87435 68115 86670 63055 67852 46932 31717 97276 04121 96917 66456 88695 12005 70252 73131 32159 60121 49072 36826 35158 26662 15428 55142 34674 72652 03998 77685 51803 79473 59781 97523 72702 22650 03325 02290 48068 07796 08258 47052 45578 70636 75602 34546 85406 63266 92632 88469 67071 19323 36576 96830 92252 93638 39126 90089 26758 41688 17920 83981 49553 75554 36207 89185 72853 36051 70676 57454 67166 42467 10582 16949 48771 27392 13415 46422 36345 64058 62894 27336 40166 26474 29687 68618 45445 39883 21315 62758 75806 89396 87875 79071 51257 95755 23314 35082 50182 47507 58259 01183 33386 69527 94891 18625 62154 78679 89773 42716 95517 93259 38985 61641 87366 20122 75773 68693 02312 21896 32440 17877 48110 02484 17391 48716 36438 05602 51889 55406 74912 39008 28099 02953 77206 43455 79671 96308 89131 26355 70428 60976 87124 71780 57028 07933 31452 10959 45300 51738 79901 20531 07190 54938 68566 41357 94317 48539 65568 26045 75018 59368 16679 63844 62395 11388 19457 88376 71765 87975 19963 49324 06087 48110 58551 60340 41427 67370 95385 87830 22404 75745 63723 53397 66560 71177 82579 25424 34073 79593 35077 99624 30393 15623 24776 66068 90293 22144 68408 46551 65931 45774 29389 11099 90191 24339 21034 30210 94469 06064 22748 88340 55795 23655 84063 20004 13611 24416 77281 74727 90452 60047 81694 49398 89316 09800 51122 54461 72663 74727 73732 15148 38892 58656 88693 81567 15557 74728 25179 59113 08643 26025 99129 29935 63116 55201 42685 57800 12838 30171 77208 06632 20923 06705 12121 74383 54924 62656 22852 24245 72880 37299 56243 41193 64712 82880 36572 85105 05603 50858 79328 02296 43039 93306 64873 94649 64170 19897 67491 62662 89607 79530 68819 25428 16017 10684 25147 68402 30051 79016 66582 70578 45617 61639 84615 56350 62854 65428 23025 50215 28261 63778 82039 00615 77904 08472 94242 49846 59775 32353 57470 06119 00232 88995 26512 10981 18073 82081 15403 89872 18366 35395 84389 47639 16649 61323 14998 14162 78623 53059 45286 18151 47219 28606 48549 35942 33045 85742 92614 10614 16584 33295 28253 47111 74151 44075 96921 35976 32001 38264 88396 39431 35571 40591 71064 93341 47369 90301 47926 38904 23643 81025 86307 88170 37295 59218 02051 83227 74326 46700 81071 11796 09541 95142 00076 18466 79190 71922 08821 41459 69073 75826 24987 77942 90038 58415 07986 71026 27613 61895 97105 15154 66979 98082 23131 18321 64714 66153 28377 64523 05521 15622 14365 70879 66839 75074 63033 97064 35721 36846 72472 43969 43468 36137 12856 73156 11872 14863 56327 10016 39712 78735 23898 41826 07507 96689 01939 27550 00823 66858 04488 24855 16925 40000 60841 82720 20324 10173 46501 22284 45553 63710 96847 51103 87825 30022 58358 30929 42112 40749 59053 37215 30762 95477 04905 55306 71712 37658 42890 45136 23977 44832 03110 16186 91447 33531 05424 86615 72768 28301 63240 88198 01419 55360 62062 87235 94247 68213 88424 57975 28693 07449 69081 93561 94192 30619 77049 75626 86763 92355 78474 54714 96679 56599 10123 93348 29435 70653 19592 91548 61674 16426 76469 83577 78450 76419 44586 14001 69911 21263 79295 37278 73174 52220 46713 80206 13830 38322 25905 87714 73782 31831 16112 32482 37293 61863 83329 91897 91667 09959 46080 56273 48046 26401 46229 42939 13746 21320 57958 51479 24586 52578 17509 10033 70588 37118 51193 31882 50232 38832 82832 44199 28879 78072 48713 17892 17275 67348 86513 90516 11033 52423 69709 96718 56060 67100 87012 58012 42945 53343 75576 34364 99201 58868 52810 74833 64557 99859 86508 78127 46457 73268 73945 83453 02690 48002 64491 69161 79150 45083 47532 48218 25638 76559 80055 29640 95931 31188 08896 83903 30416 85544 58693 29019 20967 64900 19174 69027 81280 55622 32284 44196 90632 82518 44392 57780 83435 02709 26850 00618 89767 79907 66971 43404 67890 38183 59018 42841 08276 26677 65594 90829 29402 95804 90759 64504 86757 43485 71963 87072 50297 15799 32155 31275 51265 35769 74053 41001 54961 68565 22667 91202 71326 01849 15073 06925 65262 65912 37315 33708 78058 83508 08167 41784 21259 96481 23744 22320 94578 26472 63160 21691 07370 44109 93201 05459 61992 91660 01509 12045 67098 52445 33810 33497 17448 76233 96896 54448 53053 39809 32571 45168 57029 60640 29893 73949 17595 55463 29628 66824 37190 46670 68609 28195 17042 03283 83922 20836 70659 43200 10282 15953 10787 38543 70540 32179 85622 11928 93680 99527 67317 74509 86421 63964 51269 55978 74212 74721 91233 41415 95249 41135 88383 75291 37138 81781 89768 83768 67332 04461 00574 92353 34625 39199 10417 44317 22333 80258 17174 31099 44750 18268 65554 63399 94327 35850 89662 58517 16641 85349 96187 74621 74010 19886 32979 12649 06453 71621 43224 35992 92452 11921 13504 97917 01868 46693 01717 48171 65715 40330 56081 93902 91910 17316 71161 30660 32175 70274 41289 90462 57661 26345 38113 19574 23381 11033 18751 38277 97825 52106 13034 65754 31719 15582 60237 28992 85195 27961 57074 64243 14527 20745 46016 43061 08884 02364 18633 27882 32364 89167 08287 66756 80755 53275 36023 30327 36686 73472 11838 32408 68507 56553 65095 26907 53778 21814 15840 94781 60404 08475 03116 34823 94619 52358 84573 74983 53693 64263 55724 91525 25435 67890 54030 79580 68019 54643 30998 96728 62549 51751 05106 73838 86987 16639 93753 89445 90825 41248 06218 23935 98682 03102 06046 93703 31531 50646 37555 05204 71491 01518 14461 58890 02129 51222 50297 19153 70591 14221 91628 71503 75040 53478 10279 63548 42847 17846 28645 24787 51329 32168 14258 47105 80103 73156 72148 80254 76085 07849 51754 98275 80398 30167 38261 86378 58404 96209 00806 87367 24881 17215 20540 32685 72521 43970 48187 72729 01696 97925 77756 15579 57193 84798 68444 93551 78315 23679 74108 21839 67643 96781 18726 95740 27313 82140 93052 64688 93707 40507 63823 33413 82057 99518 86611 74012 32888 52393 90358 86154 93619 74147 26257 68548 83629 15388 07537 37828 32260 22028 03671 66763 59081 16169 75845 25542 74370 29285 25754 83625 49850 04240 44828 89496 39362 47228 94630 45402 62849 92905 31693 46093 97854 73425 48552 82760 28069 20019 93943 76822 42474 93166 31614 76390 45233 26369 31286 59715 94700 30174 61603 29599 12728 96597 07845 40149 40559 67717 92145 23396 92480 08627 14306 08764 56028 10158 07100 67327 41564 99177 53873 71817 91927 27078 74289 30025 03858 03658 21166 67180 56538 20231 74683 52071 70379 83339 82222 28126 36820 65856 71608 76007 95177 21552 32420 85786 67454 95941 72601 26351 10263 98090 53111 18743 75557 51786 43324 41001 89776 36834 37409 96543 25287 34520 12571 47269 14642 24869 07745 98299 54757 03089 26281 85640 97892 05586 55434 95714 35550 46987 27764 10055 05718 89774 45047 09387 10191 54446 06831 58927 55452 96363 72909 34575 99862 22548 70354 53899 36475 93312 98568 68253 00694 29103 26954 79834 89229 24036 74513 22284 64840 02568 38564 09685 37238 95607 55831 10841 02048 98608 84315 52237 08145 77456 86508 03261 65754 65588 70475 21786 79928 80948 55514 13467 84351 40145 29557 38028 22584 55449 48307 64660 82826 53666 01262 68472 92885 65146 20260 01522 62440 64346 84092 50549 63815 39973 38415 74317 35923 75884 08550 96184 83450 26358 07519 27223 81777 01172 46886 50988 96185 88852 30444 60504 13821 22147 45778 22373 78189 86436 63434 83656 46810 40121 34742 04706 04892 50700 42884 91417 30993 29327 63860 71357 28223 16218 92803 58113 76552 02194 58231 56431 17012 71574 35948 67475 42999 10601 60972 80089 73535 40208 76154 68108 99424 96529 90234 53476 75382 07488 65652 34394 83404 34188 18365 09182 69928 47777 21813 74586 60413 47149 91192 88121 53552 14331 14628 16430 40879 17343 87514 35013 25247 86863 15047 45225 98128 85282 79618 65675 99235 48096 39261 76049 92054 36051 07026 97689 07053 02756 71166 81041 33296 83409 70236 07448 89495 90642 91457 90052 41209 82503 09083 90847 93041 17361 03443 66256 31060 42676 54002 21513 90776 78829 31767 01749 68420 73285 28275 97795 93908 08328 37957 48441 12869 20307 42951 22864 72486 57516 44369 98927 94817 19833 28493 26301 00079 05329 34768 55398 79774 93357 17795 96300 41182 96646 39002 71756 01283 71562 78640 90889 66494 35466 96447 06735 60205 73265 61396 70181 20965 84877 84672 33158 66107 74315 58276 31562 59251 19835 02072 51105 44580 84057 90720 25240 25124 69007 44920 15153 55374 00509 38213 79605 58313 07194 52691 15713 61326 78507 99503 91429 24293 54928 31039 15083 77211 09713 38672 65524 55754 28177 68459 16299 78762 01769 68085 62834 19229 52552 64549 47212 64404 89538 71730 41897 63480 81390 55215 02687 34535 14425 71363 12635 29366 65214 21593 35773 20703 68933 07233 43169 47346 76602 71982 05656 39542 61544 71492 41475 92045 72138 18246 24073 54875 56841 30073 78410 46748 24987 70778 34878 24701 89443 08802 30236 53036 59684 81816 61273 77205 96611 02800 55136 19433 05063 51748 88706 21556 00701 60623 77996 88547 95237 52484 80562 33232 71162 30203 93853 75077 77727 87069 58246 12303 97003 31638 40722 86157 49159 52077 84949 87841 77646 25658 00663 09623 09421 59486 37044 20264 20604 77403 47844 06811 55290 10339 27687 44938 17453 99324 35340 62342 05376 64746 66982 68871 34851 60589 76130 44718 68052 98146 18186 36814 62927 40670 80674 94712 71474 60941 63746 51506 40840 57158 31284 69539 64580 82853 32484 19670 56591 76932 46237 13942 68970 01664 86520 42227 32190 61278 40620 09074 54161 54399 29290 14739 75281 72116 69975 61275 98349 22496 57712 00403 04296 40705 86709 56648 04392 57656 62368 39316 09296 41280 95886 38632 85020 14243 44809 63158 36581 43108 01190 05465 86038 70909 76189 36396 42695 83812 38086 54599 09777 24219 97470 20699 20779 10347 51587 03070 60238 75801 35541 88180 38919 75873 61755 79194 25516 51443 33377 08538 63408 72566 77602 57615 14771 22132 49084 90754 86665 52860 77202 91739 37835 42966 30095 32243 84773 29532 01203 49575 52775 21545 80585 47879 18998 81067 95085 53223 53142 62888 30604 96577 42423 80885 24606 50742 91069 17254 16346 48056 00517 60669 91249 80132 09031 69181 76762 13733 56519 28886 05280 05328 07479 81281 51985 16902 51523 46984 20599 97654 44975 22500 50375 24444 44408 27333 79272 77162 86239 78321 84532 46431 06065 75815 91836 91692 43396 98550 94076 86713 23981 54765 38874 63770 94543 78237 12987 43087 82570 19717 79085 60856 76438 21307 92756 80105 90291 03520 32233 77779 59399 49408 83447 57071 39931 75102 37789 66462 20459 07441 63865 96002 64551 22110 42115 35759 67468 81271 75403 14034 95485 53005 34204 46102 93600 55268 79907 71868 51648 29114 54447 66355 79003 66333 16800 47825 02163 77988 76989 10384 06524 72451 86827 58338 02664 80359 11303 16058 19358 54815 87542 84565 93309 34283 46102 48701 83417 02575 30120 46799 75318 37858 34502 91454 67605 60698 02643 66892 38779 29447 60989 38961 81343 62979 31472 39518 86002 49358 96986 07861 10928 53743 44246 25002 89377 36509 57485 12009 73720 35778 66168 31294 65510 50930 08366 31464 29143 14382 99663 47936 44102 02447 39121 64966 32722 85130 94769 20503 85370 31800 66626 95414 36757 85684 49112 51407 17283 22614 46358 33864 53823 09249 66821 89574 54811 34120 27710 36753 18113 41414 90701 13530 88663 98052 78284 64515 80759 25413 10143 49288 65068 47780 52516 50411 55129 45821 45094 21212 42377 41813 66546 86242 84470 94775 12658 99472 31121 70145 16399 18102 10090 30737 68980 47128 14194 29979 96925 73089 55364 46107 19166 22196 88242 14859 41735 36938 45955 20622 23368 38227 92051 78485 35919 70569 97058 31317 43772 98134 41456 96290 34318 20333 76020 89007 79096 90295 97195 41943 83595 38812 03929 15955 20400 03869 02142 78251 19093 94921 38960 84464 51908 07691 97258 67786 69649 96753 90447 81683 37301 81165 54940 50908 97029 10245 63185 60355 98113 10428 27837 51460 07872 86307 26879 30421 46143 59864 06216 11398 27603 76940 35068 79131 85706 90606 75983 93195 92697 43916 80783 08975 23438 71610 11723 33811 57453 25961 36946 58307 80585 00188 28433 57689 78230 95295 46897 07680 66311 02817 27724 17814 69630 55216 18176 28065 98447 77011 77806 32239 78262 93460 19561 67603 41272 21666 95707 74054 34260 39044 57557 46485 81326 08961 57756 81539 96604 23085 42265 29957 28396 46823 03778 44704 10588 07050 64822 46750 55484 79452 88158 41826 14666 63359 42604 99431 41560 91069 10914 47708 63142 64097 64241 33658 71390 02545 17129 24082 46951 96338 65462 37430 08018 04476 75661 08611 26122 84351 05004 97219 08275 28699 65065 97359 42100 68487 09544 08306 59964 57499 01089 66274 80699 95202 65699 27846 38932 67743 92906 75465 02309 14278 35995 11991 76772 84026 10274 18644 89469 10373 06597 78191 50410 15092 41531 65889 95359 40936 56931 90692 82497 15555 46616 62567 89896 41733 33469 31733 92288 44056 34221 83700 37112 22041 61823 90182 05720 07907 90340 77408 49352 58660 35807 81917 16760 83022 00365 16498 17236 96007 49731 10598 86393 26110 00151 01123 80142 40575 49496 26110 08287 64304 39951 09662 36049 12419 69500 82756 53366 70702 30841 05755 61281 44865 09390 93275 36170 53461 30645 07278 81156 73706 99300 24150 78232 51714 73383 82626 30021 78666 88261 01777 70686 94726 38278 76786 12461 37349 67389 35579 07277 82212 99873 14875 14220 79408 82678 99265 30321 79388 57815 23750 76387 43482 66551 26324 47372 48828 21801 52693 42462 79035 98601 55912 10811 86247 18184 27682 37270 26065 58731 37128 56284 73202 68261 46216 95074 34593 67646 57805 86606 06342 67889 38181 31639 13186 47742 19910 56777 15432 34613 84249 92411 33089 95168 14196 04533 25080 61604 47104 65316 29446 21582 92312 63806 35252 02356 82254 72456 42022 12659 01107 58505 26824 38690 62314 28421 37160 15301 26878 48922 21532 23905 63527 89971 85602 31908 94856 51000 43516 38157 55695 60309 94974 65045 54860 49009 68543 88055 43869 76211 69168 62360 45186 21897 36609 83194 55084 23646 03205 56762 57214 43550 59207 31415 56769 95053 94936 70797 02154 83213 95914 31460 89721 05832 38669 08662 08805 50998 17733 53602 12699 08163 77461 43195 53513 17251 05584 76482 10479 23325 06516 33160 84081 28477 62332 80475 68376 28863 22070 74654 71511 33829 59162 35738 00033 84747 87872 91141 96895 30927 48857 52145 46892 92603 69068 57576 43821 53015 47159 78416 24000 22504 41252 86907 56579 77953 15659 87514 78424 32476 87872 16286 76188 75448 03102 14998 30576 83523 57952 98821 78757 72183 23089 93343 77027 33555 16817 83198 16886 47205 10001 30884 57363 43140 19300 29312 73660 90964 55607 85489 48981 02102 83040 32303 68868 61232 56412 88431 17792 33383 96463 66500 38088 70367 57954 52145 39440 13748 20154 94737 96656 80561 23059 67876 80817 05593 61038 08369 03991 08130 84460 27962 01732 33741 07132 88258 67906 24189 14603 68777 02478 00984 60335 27294 64001 03885 11969 86716 97904 54609 61131 44152 29411 94655 29906 69794 07005 75574 79311 55542 81015 28475 89630 77241 92677 86424 92065 72617 01170 69990 24571 48380 71502 41455 46497 64136 72355 99934 15231 16300 78046 86814 81168 02139 15179 47639 05229 00515 73525 52928 24395 19896 82026 29958 16240 51683 44194 48970 98436 07886 25063 71632 45349 49133 38310 95348 06481 88082 70247 26397 22337 48516 03343 46175 86860 92249 71390 80369 41543 21272 87228 83090 98124 49653 94618 83355 96748 68919 58308 24811 28844 02133 48303 62224 84901 92681 56457 77420 07761 06004 61468 98538 13841 81152 32642 97545 46207 82922 83354 35295 60846 15775 68287 90747 69146 70046 17815 12239 47192 26045 45679 12785 77480 98634 71110 91046 49779 48169 86379 83322 30155 14078 75285 36858 34231 99153 65845 19821 84745 74912 44636 64450 56700 10659 37707 87456 34971 89220 97543 86557 66289 70347 14802 15183 69542 55448 53779 19351 00278 13322 29680 38160 80007 25830 83385 96523 73504 45311 86154 58677 81161 28438 42365 80451 92215 44012 13158 05401 20372 03920 08003 55052 36683 87245 36101 48788 60556 65738 24770 31992 67381 23872 86619 17573 65163 11073 70063 91236 47542 58048 13255 93921 68580 65677 76453 15191 89010 60143 72714 39681 01734 02001 22965 44646 17392 40145 65637 50783 00801 05774 41905 76049 66924 46862 24648 27851 15279 80714 22949 84543 08072 94287 34151 60609 52294 16016 50321 77437 80493 53589 38560 08711 84384 73310 93140 30321 03809 99066 29506 09382 73942 62572 48143 10509 31090 66468 79050 11794 83288 97742 52918 80917 46329 83582 86558 07931 21896 88969 56691 89844 31124 62097 06918 09579 83867 28909 61090 88872 70670 18414 95829 14984 40992 54311 17371 49313 09996 07395 49738 62191 37344 94793 01478 44881 81016 42290 68587 82495 22421 56805 18089 54396 58890 33020 83519 03628 92606 94054 35274 02214 42399 22216 35845 89208 76723 85859 54450 40309 47818 04534 45249 77076 69092 32563 33044 14103 77860 73034 66071 28910 18183 89328 18899 38894 58963 16376 38415 13275 56186 01659 55821 07960 00139 49020 65644 67300 90059 29299 81233 08655 56345 42853 71133 36228 18635 50642 47661 72849 63968 31481 55630 17366 56234 48944 35397 57841 54752 91484 20235 31692 17351 98339 26018 84314 72317 69092 60696 48286 79488 60356 47909 35327 58480 48960 31210 80253 17463 97741 38438 48560 39988 84275 32900 47260 20971 20793 61827 18375 59806 24516 58240 83507 23020 05242 30718 66810 66337 09488 57795 46116 41813 13697 54415 07764 48303 18439 18596 89561 67988 09044 27770 25111 52677 31980 88462 97234 48643 52693 40628 29759 02393 30533 57636 56356 40325 16279 42304 90909 35873 97532 11418 19050 83296 33216 59489 70265 93439 71536 61425 50103 52344 26467 55243 91991 09572 04585 71114 70404 17966 07530 06233 59368 52766 58918 97894 22044 16678 78154 36694 89350 71472 81850 03712 63830 71608 55948 34325 30811 49525 64487 49089 96457 46893 99799 18655 73749 35578 14609 67654 14438 59930 75271 04378 13767 15508 03149 94923 00668 54682 75162 40508 75440 07745 93351 71592 25563 26042 81326 56768 81170 19138 65898 65091 58544 43211 90484 62857 99770 53778 16887 08625 98077 11739 17280 70140 35645 65164 03216 77107 11568 52452 62493 64280 72430 28927 24605 16727 79220 33902 73315 02881 73358 68376 15105 71304 65705 94002 66501 32461 61509 33312 60046 75964 04078 25258 98427 36474 86995 09700 42796 57017 19399 24567 19325 46386 44718 02833 39455 16565 88979 73348 98639 92591 56704 43045 61724 28244 44196 15122 12618 69107 93278 57133 76906 83613 23714 03896 06784 85737 19565 56717 61064 93580 18298 23921 45536 00480 78156 37961 46463 34790 61683 69770 38727 78637 86255 30925 15271 30735 64564 24307 71744 46501 08008 53340 50451 32237 70640 48617 79066 86706 32374 98519 74550 26475 34793 88134 10113 32033 75228 71358 45558 37677 57405 06023 05661 21761 87474 85359 97451 89149 00740 38692 03576 62295 73581 19538 57864 99047 73976 33287 48966 19406 62528 76940 91224 14759 11805 78510 30843 91371 59010 70678 21155 69361 73540 00667 68494 45439 30342 29993 84291 68084 49367 42934 46554 84415 72087 86862 20890 71532 89372 39332 21953 39200 18355 56606 06292 08400 74621 59476 17851 92545 21672 45494 80807 39998 14941 58691 87505 24207 80770 53004 22212 69239 66934 21774 94035 67351 72222 50780 75352 35868 47762 65495 26603 17972 78633 90147 67241 20078 60501 57029 29338 21632 02286 84231 19921 16358 83550 93843 30238 95837 02938 76577 99758 89400 16955 70529 37485 90737 07242 18422 78726 07997 62529 87639 03863 23653 72248 93578 54511 88061 05040 61140 20742 95374 40466 73397 88726 26227 39473 01599 23561 04834 06159 74740 95025 55934 98990 82394 34188 34477 33311 44099 35700 91812 77419 87109 25811 87098 18261 18836 82144 73213 03809 62682 88615 92895 97058 27414 95409 76151 94620 04064 06863 30833 00909 57717 14673 14239 55397 46351 05695 23459 02558 27490 82865 24880 51690 90281 90668 33803 59214 22031 86829 73208 50200 89672 98434 91995 14825 16391 32377 75176 48616 11172 92436 99744 82568 86795 00869 19021 27955 18942 73832 49035 83732 93421 78121 40091 60657 53885 82243 56757 59233 17684 23221 71485 20575 58569 83762 17845 34790 27789 04749 69060 39025 19877 91422 15447 62830 57086 35928 34007 77095 11074 08792 41066 69130 46990 63240 93514 91252 95660 01980 49340 39254 18388 78366 07445 50542 76848 23148 35819 70305 46776 05518 94709 72144 08220 12048 80656 70725 59614 30752 02999 10875 47517 92938 81625 21684 15387 55502 37785 63408 06422 38332 93236 93212 74293 44377 47454 64385 99580 20506 66975 70256 88098 09419 90815 69918 02546 42363 71005 55946 23205 48282 85495 66044 65091 00966 49186 38839 17521 73428 15026 39856 16727 72321 78338 04066 59868 77816 95139 36072 76481 07308 51028 33871 55778 42659 68407 53950 95326 09539 85033 15040 93633 06096 06840 57548 72695 87668 05785 85750 01724 27413 49124 22106 11049 78143 43831 66998 64464 01727 32327 13239 29077 91072 59461 80364 87748 16957 83704 26726 58010 16906 74938 82202 15272 26499 33835 97011 02049 49741 79567 58770 25652 74012 02703 07413 46564 40423 58911 30061 35126 07634 59818 19725 14312 61800 55971 79556 22166 83110 98215 02607 69060 10544 63151 74445 88002 16876 74030 15125 46331 00932 32753 47882 10277 29908 37300 98466 93764 63811 66093 29478 44012 08760 62336 62955 06010 39759 34779 00163 06956 01547 79174 14726 40743 94924 66858 02691 25729 83967 93457 54169 00467 58338 72768 72586 07568 49575 65815 99071 27627 29347 96870 90003 34170 76127 08176 71107 40640 63843 26056 65398 56724 11860 58910 69128 17768 74712 31636 29952 90732 89773 43289 92622 30680 86660 69778 17865 82649 47215 66452 97903 04361 22013 05762 84863 28560 35528 92026 28485 38779 66164 69089 54675 17078 66059 14721 19403 60923 33444 43398 34512 14070 34250 60919 29350 44754 17532 89734 08803 31701 98703 59958 82013 34047 01222 20194 97030 19305 04002 97931 00323 09690 31582 18583 23349 50819 22524 73674 40492 16138 17591 96745 61198 67170 95504 94476 81874 21227 47732 98825 45129 08357 72421 74304 83513 93071 39482 16350 71786 27649 74572 85481 73177 68545 42685 47423 01515 41860 29842 42547 65747 87997 76280 21468 05698 25894 51647 79818 33749 25321 07579 77212 07580 40324 31654 26303 80325 53926 29807 39578 25552 15844 86108 12546 30938 99654 74423 38977 20319 71644 29027 68327 72747 07944 78752 18329 93938 22422 67764 32675 46888 84252 24344 88082 70312 39765 43990 01326 66729 67012 24600 45654 09593 08141 46120 89008 82460 29535 37674 28940 68660 35657 14945 26643 99457 83214 70061 02773 57016 07821 52874 73496 47996 16269 14502 14702 80952 29136 61849 82448 04825 83945 43866 14050 96654 25792 52823 76580 38807 60439 12499 58898 29060 79998 88114 84752 15845 92337 24871 43423 30001 71941 71837 69091 52938 18406 24287 34870 00166 86828 90855 74851 06156 07885 53293 52999 95816 79438 42426 24053 84905 11131 75914 86304 79477 92080 88215 54761 04062 72406 32717 65873 06770 16662 62572 84628 62081 46434 62496 92189 59846 60291 67651 23026 76571 07882 32142 06492 89777 53560 83628 24510 97219 33705 62086 77716 09465 19572 74760 20247 18815 81772 18262 92066 69673 62031 22755 12656 73861 51496 78550 37768 34937 31226 61927 98045 41781 11680 22528 22874 06690 41584 32201 66577 66182 98286 82046 26232 33284 75100 66630 40094 89827 10835 96427 97675 87833 87876 92566 03878 24627 41356 63203 34510 79276 07183 24805 01439 84037 34317 44077 48175 59025 06030 84523 47852 19733 11267 26499 92147 25719 92005 37616 64150 98333 65382 52765 18889 85211 86965 61514 00338 90235 13795 27207 49704 49167 13925 81952 86332 60556 28168 44255 86695 09575 37168 25918 62559 79373 68486 80154 48843 37225 55837 32560 06748 38643 15170 09995 20721 95631 58607 03023 99315 28429 66139 03246 65516 89869 11651 75090 98481 82533 83172 94960 38575 15442 05082 71064 26948 55066 11481 44333 08622 80330 95598 66335 12579 31443 96973 29759 42303 27755 30544 73356 67421 24937 41557 50371 58894 84192 39209 93693 42148 30086 62834 52172 34456 16955 57722 66328 88164 57068 00367 08291 33703 42101 66573 00051 46660 82744 39888 74757 89260 74546 12083 26743 82975 60946 75903 00784 32924 59843 10146 40626 49681 07828 36953 05866 90567 66012 48982 05297 67730 81683 74153 38256 66535 85327 71470 90771 20345 76116 93958 70893 39101 40647 74029 23775 23069 70201 35093 19778 77864 69418 99636 38836 02566 92201 50326 76650 26737 49609 49343 14706 30970 50521 77145 10547 38756 29204 73515 55289 87348 80360 96301 25993 73465 38018 30099 41520 86135 60703 62800 96650 71073 11581 88383 81827 27008 86056 11982 82489 41801 82551 73230 32402 77685 88294 97534 29271 86617 69513 21166 05138 71123 50136 31666 67641 48300 99180 63783 97064 41467 34407 73756 95955 73491 71142 44369 82399 65510 08889 46383 55689 95424 16461 61943 06889 43970 28072 61909 77736 96329 52513 56040 15880 29859 80476 14713 42766 00911 10693 71754 99912 17346 78356 69202 47561 97528 05883 98080 36842 00402 19722 51353 94515 01511 69283 06748 89415 24070 98550 28642 37301 53074 19931 29947 27273 36258 36651 55691 96313 48171 45254 77315 22356 52266 08105 46376 04174 84789 49549 09320 55381 58115 19694 08426 26709 06721 66170 85598 01229 29960 70386 49928 99670 62452 56565 17404 51997 11128 93511 09487 66605 44090 69786 77456 54742 68342 62070 56824 08402 33151 97784 05813 38984 60605 67078 35281 20785 68520 16038 12148 49265 19136 23205 25423 06325 98169 10048 64467 05608 18913 23426 80140 51051 33051 16870 40530 12893 14676 09318 55220 28389 67596 16958 45448 62566 33912 28544 75246 04562 10122 93101 64008 99568 41008 87612 72624 57282 66482 90202 05819 73633 93113 75605 60758 97087 92642 90726 62823 38030 67612 11523 24743 76385 74825 75086 76568 68825 26597 31903 73551 45785 08402 90764 55141 90523 59635 32368 41271 14119 22808 62996 34940 85420 76049 89350 91410 83300 21087 45561 75830 20064 55745 61461 87843 15620 92619 50913 39476 73014 93984 35686 82771 81618 60590 86350 62876 57926 01957 68240 66617 33485 66011 62892 00805 60463 07176 50848 17671 13364 24537 05199 38975 64152 72823 89510 75860 81128 21244 02803 78304 37996 26682 34276 24200 60787 98888 77173 19240 69478 27471 76008 24492 63799 66910 35297 51781 60168 04453 06999 35569 84574 11831 70024 75119 23351 37629 14644 95947 55168 48707 80006 51793 10875 28738 16993 40300 52703 96124 76475 35448 96722 17430 99828 35769 44449 34547 38796 21302 26495 28711 73968 90132 13340 46814 58546 40099 64432 12585 06804 49546 77011 42082 71409 13350 66737 07248 34969 17787 41552 97902 37365 38253 83804 25135 63529 17571 35862 58141 83732 94694 25366 99957 39158 04560 35763 87200 42608 06090 06468 74565 59503 00144 31458 31590 14301 45175 91113 33260 83892 53432 88978 72454 25126 40102 13516 77978 55791 85940 16305 68677 77914 82431 40388 56850 84015 23749 07121 98912 67050 70840 20836 33386 66032 64988 39217 19448 40124 94762 30789 63910 46878 55957 44454 89939 95568 09155 01618 45820 30297 10301 13011 35088 14269 79899 64512 04099 07013 89214 36220 59794 66939 28271 29257 12263 99975 97590 16692 72705 03882 28619 73079 03057 54886 40235 80055 85586 75454 66903 65349 19531 70651 89617 24635 87289 91705 67217 93561 93047 18215 91755 59876 64422 58572 54081 54136 40254 72600 63110 55528 41406 68232 87879 87411 44851 14413 79245 16361 76874 25112 50099 03395 08160 24857 12501 47475 45009 78016 58436 23505 00499 05075 24774 28873 32030 95453 42060 60280 08864 21177 07015 08163 38069 43414 60502 75347 53740 73763 78178 33764 79864 36202 63215 48899 48828 15635 73521 28798 12145 88767 36264 66365 51547 07267 60525 40279 47473 34209 08823 79393 19627 51076 14833 93451 53469 17641 06885 46514 88036 01224 94853 52770 85290 33979 66408 65038 82095 63305 16003 67705 71330 21867 86791 72865 18134 93794 08381 86967 09218 84058 08493 99920 00373 25090 20257 62335 97853 11576 23717 01330 13452 62138 99270 59848 34724 05812 97895 75938 66630 16355 12269 13855 39844 03875 97482 65194 34620 83045 02972 83515 64202 68407 14333 36924 19098 58088 42549 88791 12710 81273 42173 38671 10195 97682 56167 55688 35597 98026 05078 77553 47687 08697 31798 54932 92720 88773 87598 55757 77603 94007 05395 22399 95223 71312 16591 13704 69659 46787 54260 69433 60272 47252 95037 87635 60403 70177 09304 20464 24192 30749 76232 18321 21990 61668 73411 88100 91548 03048 27207 34978 26954 26061 45693 80676 28228 14585 27493 86390 00447 80758 64051 54967 52197 75817 96055 52542 88737 66920 91608 66259 88866 55759 42590 19967 57861 43461 65160 27153 02907 88725 92748 01164 89633 38239 74370 26248 42055 45473 23112 09540 82366 46764 87886 53322 37207 01960 35846 56111 18694 82358 77921 90858 79078 28064 67516 48883 23106 26332 82905 44781 61986 01439 17628 07768 90571 53636 86513 70624 43453 13942 50251 07265 10883 42118 25383 90977 74018 17917 14867 38923 64650 01615 16111 35690 97334 37090 83580 09872 26832 66971 02458 01992 05349 62772 07881 63207 12276 42743 04239 77933 89565 05055 36717 79006 05220 44688 86770 00164 41474 18231 30096 50948 24211 65175 73110 41110 66648 80199 89473 72202 51053 80775 00544 48561 65663 78815 08592 65613 59560 03015 19864 40494 79066 42114 73413 29588 65036 71186 16497 14655 60703 36087 94702 58436 42831 02677 76002 03129 36963 14825 83928 31900 60327 65589 18910 07168 76486 72404 36888 43698 06820 13580 47288 65869 88181 21370 97339 05935 02862 62611 69870 56038 87209 43463 01139 10363 28673 80766 03314 24854 83197 74981 32334 64275 56073 41143 77996 01358 97569 89882 03552 48468 16426 44801 10685 23427 86761 98520 60117 14901 22977 73540 43202 66770 77068 25735 65381 02411 49879 76208 21204 28964 55559 20255 40596 47444 52319 93259 03540 62364 28590 41957 58252 10761 08625 5354…
Lucius Domitius Ahenobarbus — Nero Claudius Caesar Drusus Germanicus — Nero Claudius Caesar Augustus Germanicus — Imperator Nero Cladius Divi Claudius filius Caesar Augustus Germanicus
DILBERT © 2001 Scott Adams. Used by permission of UNIVERSAL UCLICK. All rights reserved.
The Number 42
DON’T PANIC
According to The Hitchhiker’s Guide To The Galaxy, the answer to the ultimate question of life, the universe, and everything… is 42. But how was such a seemingly bizarre answer calculated by Deep Thought, especially when the original question, as calculated by Earth, turned out to be “What do you get if you multiply six by nine?”. The answer is simple: MATH.
M = 13
A = 1
T = 20
H = 8
13 + 1 + 20 + 8 = 42
And six times nine is forty-two when you are multiplying in base 13 instead of base 10.
(4 × 13) + (2 × 1) = 56
Sometimes a small change of perspective is all that’s needed to better understand the reality in which both your conscience and unconscience minds reside.
By the way…
although ATTITUDE can get you to 100% (1 + 20 + 20 + 9 + 20 + 21 + 4 + 5 = 100)
rather paradoxically, so can WHISKEY (23 + 8 + 9 + 19 + 11 + 5 + 25 = 100)
You’re welcome.
42 and Douglas Adams — Numberphile
The Magic Hexagon
There Can Be Only One Trichotomy — Numberphile
Irrationals Are The Norm?
This Must Be What Made A Lot Of People Very Angry
π × π = π2 is irrational but √2 × √2 = 2 is rational
The set of all irrationals forms a disconnected metrizable zero-dimensional space; the complementary set of irrationals is uncountable.
It is not known whether π + e, π − e, π × e, π ÷ e, 2e, ee, eee, πe, π√2, ln π, Catalan's constant, or the Euler–Mascheroni gamma constant γ are irrational or not. Coincidentally, this also explains human behavior.
Hmph.
e
Pi(e);
May I Have A Large Container Of Coffee?
When you think about the size of the Earth, and how it’s only a fraction of the size of the sun, which is itself a mere speck among the galaxies of the universe… it’s quite easy to rationalize eating an entire apple pie for breakfast.
STRESSED spelled backwards is DESSERTS
The Seductive Dance Of Mathematics
“An exquisite multivalent derivative of Y.M.C.A. plus the Macarena.”
x² - (7 ÷ 4)
A Special Kind Of Bullseye
Amazing Beauty Lies Hidden In Mathematics And English




IT from BIT
Is The Universe A Computer?
Good question. I grilled Bit on this very topic during its trial. Its answer: Yes, No and Maybe.
Hmph.
Well then, here’s one of my favorite uniquely discretized operationally complex bearded sentient avatars, Mike Rugnetta, with a bit of additional insight. Just remember… Maths aren’t Real. Because they Float. And Double. And often Extend themselves in and around the Quad with lackluster Precision.
<groan> tap to utter assorted glottal fricatives co-articulated with breathy voiced reduced mid-central unrounded vowels of throaty formant in repetition </groan>
Math and Movies
Fixing Bugs In Code

Moore‘s Law and The Secret World Of Ones And Zeroes
Timesify
Mathematica — Wolfram|Alpha — Wolfram Language
Stephen Wolfram: Computing A Theory Of Everything
Visit www.wolfram.com to learn more.
If Programming Languages Were Weapons
by Bjorn Tipling — August 29, 2014
C is an M1 Garand standard issue rifle; old but reliable.
C++ is a set of nunchuks; powerful and impressive when wielded but takes many years of pain to master and often you probably wish you were using something else.
Perl is a molotov cocktail; it was probably useful once, but few people use it now.
Java is a belt-fed 240G automatic weapon where sometimes the belt has rounds, sometimes it doesn’t, and when it doesn’t during firing you get an NullPointerException, the gun explodes and you die.
public class GilboaSnake extends AR15 implements DoubleBarrel {
private static final String BULLET = "5.56mm";
@Override
public boolean isLeftBarrelFilled (String bullet) {
return BULLET.equals(bullet); // safe
}
@Override
public boolean isRightBarrelFilled (String bullet) {
return bullet.equals(BULLET); // unsafe
}
@Override
public void fire() {
if (isLeftBarrelFilled(nextBullet()) || isRightBarrelFilled(nextBullet()))
pullTrigger();
}
}
Scala is a variant of the 240G Java, except the training manual is written in an incomprehensible dialect which many suspect is just gibberish.
JavaScript is a sword without a hilt.
Go is the custom-made “if err != nil” starter pistol and after each shot you must check to make sure it actually shot. Also, it shoots tabs instead of blanks.
Rust is a 3d printed gun. It may work some day.
bash is a cursed hammer; when wielded everything looks like a nail, especially your thumb.
Python is the “v2/v3” double barrel shotgun, except that only one barrel will shoot at a time, and you never end up shooting the recommended one. Also, I probably should have used a line tool to draw that.
Ruby is a ruby encrusted sword. It is usually only used because of how shiny it is.
PHP is a hose. You usually plug one end into a car exhaust and the other you stick in through a window, then you sit in the car and turn the engine on.
Mathematica is a low-earth-orbit projectile cannon. It could probably do amazing things if only anyone could actually afford one.
C# is a powerful laser rifle strapped to a donkey; when taken off the donkey the laser doesn’t seem to work as well.
Prolog is an AI weapon. You tell it what to do, which it does, but then it also builds some terminators to go back in time and kill your mom.
Lisp is a shiv which comes in many forms. Anyone who uses this is probably crazy and dangerous.
Professional Software Engineering
Hyperpolyglots
Santiago Gonzalez
14-year-old software developer Santiago Gonzalez already has 15 iOS apps to his name and dreams of designing for Apple. At age 12, Santiago became a full-time college student and is on track to earn his bachelor’s degree in computer science and electrical engineering by age 16. Santiago’s parents overcame a rigid school system that left their son intellectually stifled and depressed and instead followed an unconventional pathway to nurture his incredible gifts.
Tim Doner
Prodigy hyper-polyglot Tim Doner has been teaching himself languages since he was 13. He now speaks nearly 20 languages! Join Tim on a cultural tour of New York unlike any you’ve ever heard. See more of Tim here: polyglotpal
Giuseppe Mezzofanti
A 19th-century Italian cardinal who was said to speak 72 languages across 11 language families and could read and write in six alphabets.
Emil Krebs
One observer said that Krebs never learned the “technique of life.” He was someone who could tell you off in dozens of languages. He once translated the phrase “kiss my ass” (known as “the Swabian salute”) into 40 languages.
“Honey Badger Don’t Care.”
Translating…
A Saippuakalasalakauppias Palindrome
2211 Words — Indefinite Articles Only
A man, a plan, a casa, a bait, a lag, a malt, an ami, an abr, a bayard, a liang, an apa, a jager, an adder, a gaw, a nut, an oca, a net, a caps, a rail, a karat, an amalaka, an agron, a brev, a kit, a ballet, an eel, a bar, a lama, a dan, a patina, a grama, a tin, a manak, a japer, a pupa, an oka, a lev, a trad, a cab, an ala, a papaya, a loma, a cam, a catalpa, a mon, a kor, a tam, a haloid, a regal, a lub, a war, a peen, a stob, a gad, a spin, a ward, a slag, a toom, a we'd, a pos, a marg, a cedar, a daraf, a wat, a dater, a carapa, a lot, a tennis, a laic, a farer, a dame, a haemin, an agal, a tsar, a misaim, an enate, a halo, a garrot, a gip, a rom, a lca, an elem, a yell, a ganoin, a waver, a boma, a ball, a waxer, a tid, an agr, an app, a y-axis, a lion, a lack, a burg, a motmot, a rata, a vil, a satrap, a mart, a rank, a lex, an annot, a pol, a tael, a drub, a nome, a dale, a batwoman, a mara, a lob, a tarp, a res, a drawer, a rot, a doh, a nib, a saw, a harem, a gater, an imam, a llama, a let, a bel, a hamal, a gasser, a cadi, a ramrod, a saga, a bass, a cad, a ya-ta-ta, a flan, a cig, a malam, an anus, a keep, a cuda, a crum, an alapa, a doc, a nett, a laggen, a loofa, a cola, a roman, a vac, a snug, a mass, an ass, a tarpan, a frt, a neb, a reel, a corp, a yob, an ana, a but, a tpd, a pant, a cate, an alb, a napper, a gum, a knot, a daud, a pipa, a ruse, a call, a haar, a matador, a bot, a mod, a cor, an aug, a dop, a bud, a buran, a sika, a nork, a yoga, a kip, a rood, a tanga, a pap, a loop, a rein, a pat, an anadem, a leman, a brocatel, a says, a jad, a nomad, a tau, a nunatak, a drab, a gob, an amt, an andron, an orc, a maim, a kaiak, a saber, a puca, a rab, a rabal, a kabala, a rem, a canoe, an aid, a water, a minah, a yarak, an okay, a redan, a gala, a liza, a coir, a car, a vav, a hail, a guna, a min, an aroma, a mix, a manikin, a capita, a cap, a tsi, a waw, a spira, a rub, an att, a matsu, a hat, a fan, a taj, a ray, a jar, a lah, a datum, a gayal, a bus, a coss, an alias, a lin, a gata, a cabana, a nail, a nod, a vas, a lam, a recall, a nasal, a bat, an aba, a rec, a nim, a gauss, a baba, an ign, an agura, a gleba, a lune, a pastel, a yew, an inner, an exon, a moor, a mir, a pas, a dir, a canalis, a bason, a beg, a kop, a yam, a fader, a citer, a pan, a lunarian, a mot, an alif, a yes, a jaw, a pay, a salad, a poll, a waggon, an ore, an asp, a tabor, a cariama, a kab, a kabob, a lac, a deb, a mun, a dalasi, a daff, a raki, a halal, a sanies, a cast, a hwan, a cay, a dad, an ogam, a ma'am, a japan, a vakeel, a fac, a duel, a sial, a patin, a magot, a roll, a pain, a rall, a fats, a bap, a cerat, a call-up, an abb, a radiov, a gid, a loot, a god, a tenner, an eta, a gar, a grad, a dap, a dirt, a hair, a parr, an agon, a dual, a nonet, a mural, a soda, a teff, a tal, an omasum, a tug, a vat, a doom, a deil, a str, a dam, a gaff, a camoca, a mud, a flow, a fed, a gpm, a tod, a fcp, a reflet, a hay, a nav, a lulab, a tail, a maniac, an ikan, a maid, a salep, a lass, a pall, a gab, a watt, a bay, a map, a lair, a sax, a mar, a madam, a palet, a ramon, a won, a wet, a fen, a nipa, a dBm, a lai, a bag, a haeres, a bun, a ratton, a tana, a sem, a gtc, a giron, a bros, a navar, a carotin, a jab, a dayan, a lever, a fun, a macoma, an iter, a nies, a dak, a yaw, a sera, a tef, a nek, a xat, a boob, a haler, a cir, a daw, a camass, a topaz, a gator, a taw, a lapser, a mut, a biga, a nag, an atlas, a bad, a doodah, a manas, a puna, a fut, a sima, a gen, a facsim, a liard, a gym, a spot, a sex, a nae, a wap, a zax, a way, a tapis, an ord, a habu, a datura, a mel, a kadi, a qat, a mas, a banana, a cran, a bird, a pus, a drain, a lacer, a valor, a pav, a lad, a wamus, a garg, a tamis, a kaon, a tort, a leg, a baht, a lapin, a ref, a wall, a mac, a samaj, a boar, a sunn, a pappus, an aced, an ann, a manor, a barege, a jai, an alap, an acad, a fakeer, a remit, a get, a toil, a gat, a local, a baff, a wain, an akela, an uta, a slab, a rattan, a lyc, an atoll, a banian, a retem, a dorp, a poort, a vug, a supr, a canon, a far, a fanatic, a dep, a caid, a qaf, a kas, a carfax, a patness, a nabob, a catnip, a minima, a must, a sal, a caracara, a manioc, a til, a lip, a rag, an amir, a hareem, an arcs, a teel, a cram, a yawn, a main, a ban, a rasa, a lud, a ragi, a tapir, a top, a dil, a lat, a razz, a jag, a sass, a jalor, a calix, an asb, an ayre, a nap, a tannin, a garb, a sports, a gem, a reed, an esu, a hap, a raglan, a sis, a baronet, a snit, a madras, a plug, a gula, a ros, a scf, a gelder, a terr, a gag, a fay, a fag, a garret, a redleg, a fcs, a sora, a lug, a gulp, a sard, a matins, a tenor, a basis, an alg, a rap, a hausen, a deer, a meg, a strops, a brag, an inn, a tap, an aery, an abs, an axil, a carol, a jass, a sag, a jazz, a ratal, a lid, a pot, a rip, a taig, a radula, a saran, a bani, a manway, a marc, a leet, a scr, an ameer, a harim, an agar, a pil, a lit, a coin, a maar, a caracal, a satsuma, a minim, a pint, a cabob, an assent, a pax, a fracas, a kaf, a qadi, a caped, a cit, an afar, a fanon, a carpus, a guv, a troop, a prod, a meter, an ain, a ballot, an acyl, an attar, a balsa, a tuna, a lek, an ani, a waff, a bal, a colat, a galiot, a teg, a timer, a reek, a fad, a canap, a lanai, a jaeger, a baron, a mannan, a decan, a supp, a pannus, a raob, a jam, a sac, a mall, a wafer, a nip, a lath, a bagel, a trot, an oak, a sim, a tagrag, a sum, a wad, a lav, a parol, a varec, a laniard, a sup, a drib, an arca, an anabas, a mat, a qaid, a kalema, a rut, a daub, a hadron, a sip, a tay, a wax, a zap, a wae, an axes, a tops, a myg, a drail, a misc, a fanega, a mis, a tufa, an upas, an amah, a doodad, a basalt, a nagana, a gib, a tum, a resp, a law, a tarot, a gaz, a potass, a macaw, a daric, a rel, a haboob, a tax, a ken, a feta, a resaw, a yak, a dasein, a retina, a moc, a manuf, a revel, a nay, a dab, a janitor, a caravan, a sorb, an orig, a ctg, a mesa, a nat, an ottar, a nub, a sere, a hag, a bai, a lambda, a pin, a nef, a tew, a now, a nom, a ratel, a pam, a damar, a max, a sari, a lap, a may, a batt, a wab, a gall, a pass, a lapel, a sadi, a manakin, a cain, a mali, a tab, a lulav, an ayah, a telfer, a pcf, a dot, a mpg, a def, a wolf, a duma, a com, a caff, a gam, a darts, a lied, a mood, a tav, a gut, a mus, a monal, a taffeta, a dos-, a larum, a tenon, a laud, a nog, an arr, a pariah, a trid, a pad, a darg, a raga, a ten, a rennet, a dog, a tool, a dig, a void, a rabban, a pull, a cat, a recap, a bast, a fall, a rani, a pallor, a tog, a manit, a palais, a leud, a caf, a leek, a van, a pajama, a mam, a gonad, a day, a can, a what's, a casein, a salal, a haik, a raff, a dais, a ladanum, a bed, a cal, a bob, a kabaka, a mair, a carob, a taps, an aeron, a nogg, a wallop, a dal, a say', a paw, a jasey, a fil, an atom, an air, an ulan, a paretic, a red, a fam, a yapok, a geb, a nos, a basil, an acarid, a sap, a rim, a room, an oxen, a rennin, a wey, a let's, a paenula, a belga, a rug, an angina, a babassu, a gamin, a cera, a banat, a balas, an all, a ceramal, a sav, a don, a liana, an abaca, a tag, a nil, a sail, an assoc, a sub, a lay, a gamut, a dah, a lar, a jay, a raj, a tan, a fat, a haust, a matt, an abura, a ripsaw, a waist, a paca, a tip, a canikin, a maxima, a mor, an anima, an ugali, a hav, a var, a carioca, a zila, a lagan, a deray, a konak, a rayah, an imaret, a wadi, an aeon, a camera, a lab, a kal, a barabara, a cup, a reb, a sakai, a kami, a macron, an ordn, an atman, a bog, a bard, a kat, an unau, a tad, a monad, a jasy, a salet, a corban, a melamed, an anat, a panier, a pool, a papa, a gnat, a door, a pika, a goy, a krona, a kisan, a rub-a-dub, a pod, a guan, a roc, a dom, a tob, a rod, a tamara, a hall, a caesura, a pip, a duad, a tonk, a mug, a repp, an abl, an aet, a catnap, a dpt, a tuba, a nan, a boy, a proc, a leer, a ben, a trf, an apr, a tass, an assam, a guns, a cav, an amora, a loca, a fool, an egg, a latten, a coda, a pal, an amurca, a duc, a peek, a sun, an amal, a magic, an alfa, a tat, a yad, a cassaba, a gas, a dorm, a raid, a caress, a gal, a mahaleb, a tela, a mallam, a minaret, a gamer, a haw, a sabin, a hod, a tor, a reward, a ser, a prat, a bola, a ram, an amowt, a bael, a daemon, a burd, a leat, a lop, a tonn, an axel, a knar, a tram, a part, a saliva, a tar, a tom-tom, a grub, a kcal, an oil, a six, a yapp, an arg, an adit, a rex, a wallaba, a mob, a rev, a wanion, a galley, a melena, a clamor, a pig, a torr, a gaol, a haet, an enami, a simar, a stalag, an anime, a haem, a darer, a facial, a sinnet, a tola, a par, a caret, a dat, a waf, a radar, a decagram, a sop, a dew, a moot, a gals, a draw, an ips, a dag, a bots, a neep, a raw, a bul, a lager, a diol, a ham, a tarok, a noma, a plat, a camaca, a mola, a yap, a paal, an abac, a dart, a vela, a kona, a pup, a rep, a jak, an amanita, a marga, a nit, a panada, a malar, a baleen, a tell, a batik, a verb, an organa, a kalam, an atar, a kali, a rasp, a catena, a con, a tun, a wag, a redd, an areg, a jaap, an agnail, a dray, a barb, an aim, a natl, a mag, a lati, a baas, a canal, Panama!
Delicious Fresh Synonym Roles
“I like cooking my family and my pets.” — Use commas. Don’t be a psycho.
Quotations — Still Not Meant to be Used for Emphasis
Our Generation
Jordan Nichols Grade 8
Our generation will be known for nothing
Never will anybody say
We were the peak of mankind
That is wrong, the truth is
Our generation was a failure
Thinking that
We actually succeeded
Is a waste. And we know
Living only for money and power
Is the way to go
Being loving, respectful, and kind
Is a dumb thing to do
Forgetting about that time
Will not be easy, but we will try
Changing our world for the better
Is something we never did
Giving up
Was how we handled our problems
Working hard
Was a joke
We knew that
People thought we couldn’t come back
That might be true
Unless we turn things around
Now read from bottom to top
Troll
Shane Koyczan




